|
|
|
Abstract This paper presents an analytical overview of the effects of inflation on government revenues, expenditure and fiscal positions. Evidence for a range of countries from the current inflation episode and that of the 1980s is compared and contrasted. The key finding is that high inflation initially boosts tax revenues and improves fiscal positions, but expenditure quickly catches up and offsets this improvement. The short-term boost is partly due to structural changes that have made modern tax systems more elastic with respect to inflation. The medium-turn deterioration reflects a shift toward spending items more responsive to inflation. The key risk is that the impression of abundant tax revenues will lead to spending programmes or tax cuts that damage public finances in the long term. As research on inflation and public finances has been dormant since the 1980s, this analysis fills a gap in our understanding of the fiscal consequences of inflation.
Keywords: inflation; tax revenue; government expenditure; fiscal balances; public debt; fiscal-monetary policy interactions; advanced economies; emerging market economies; Great Inflation
JEL: H20, H50, H60, E31, E63
1 Introduction
The purpose of this paper is to analyse systematically the way in which inflation affects fiscal outcomes and identify the potential sources and consequences of fiscal instability in a high-inflation environment. The widespread increase in inflation since 2021 has highlighted the powerful macroeconomic interactions between inflation and public finances that most policymakers in advanced economies have not experienced since the early 1980s. Research on inflation and public finances has also been largely dormant over the past four decades. Since the Great Financial Crisis (GFC) in particular, research has focused mostly on macro-fiscal analysis in an environment of deflation and negative or near-zero interest rates and high public debt. The return of high inflation has exposed a gap in our understanding of the fiscal consequences of inflation that this paper attempts partly to fill.
The main argument developed in the paper is that high inflation initially boosts government revenue faster than expenditure and may thus create an impression of healthy public finances. The greater sensitivity of tax revenues to inflation is partly structural, as modern tax systems have become much more reliant on VAT, and as digital technology facilitates the collection of indirect and direct taxes and strengthens tax compliance. However, government expenditure also catches up quickly when inflation is persistently high, so the initial positive effect of inflation on fiscal positions quickly dissipates. The main risk in this situation is that the impression of abundant tax revenues and initially slower adjustment of expenditure could lead politicians to advocate new public spending programmes or tax cuts, which could be difficult to reverse and would damage public finances in the longer term.
The paper is structured as follows. Sections 2 and 3 analyse the effects of inflation on tax revenues and government expenditures using recent empirical and historical examples. Section 4 discusses the impact of inflation on the budget balance and public debt in the short- and medium-term. Section 5 looks at some feedbacks from fiscal to monetary policy under high inflation to highlight the potentially corrosive effects of inflation on public finances in the medium term. Section 6 concludes.
2 Inflation and tax revenues
The 1970s and 1980s witnessed a flourishing of the literature on the microeconomic aspects of inflation and taxation, especially on the various accounting procedures used to compensate for the distorting effects of inflation. There has been much less analytical and empirical work on the macroeconomic effects of inflation on taxation, both at the time (Nowotny, 1980) and more recently, for the structure of tax systems has changed considerably.
Inflation automatically enlarges the nominal tax base, especially for broadly-based consumption taxes such as VAT. For example, if the VAT revenue base is equal to €1 billion and the VAT rate of, say, 25% is assessed on all items in the CPI basket, an increase in average annual CPI inflation from 0 to 10% will enlarge the VAT base by €100 million and the VAT revenue by €25 million even if the tax base does not expand in real terms.
For personal income and social security taxes, the effects of inflation on revenue are more complicated because they depend on income growth (which often lags behind inflation), the degree of so-called bracket creep (i.e. the extent to which taxpayers move into a higher tax bracket in a progressive tax system), and how much the nominal values of tax credits, deductions and exemptions are adjusted for inflation (Beer, Griffiths and Klemm, 2023). The less the tax brackets, credits, deductions, and exemptions are adjusted, the greater the extent of bracket creep and, hence, of personal income tax growth. In Europe, for example, only 11 out of 27 OECD member countries automatically adjust personal income tax brackets for inflation every year (Bunn, 2022).
A moderately high inflation can buoy tax revenues for several years. From 1979 to 1983, for example, inflation in the United Kingdom increased by a cumulative 42%, VAT revenue by 86% and personal income tax revenue by 51%, even though real GDP grew by no more than 2.3% over that period, the VAT rate was constant at 15%, and personal income tax schedules were adjusted regularly to offset the bracket creep caused by inflation. 1 However, as monetary policy tightened to rein in inflation and as the economic activity slowed, the revenue bonus due to inflation dissipated: the average annual growth of the VAT revenue decreased from 17% in 1979-83 to 12% in 1984-88 as inflation fell from 11.3% to 4.6% per year. Due to collection lags, inflation persisting at much higher rates tends to lower tax revenue in real terms – the so-called Olivera-Tanzi effect. 2 For example, with a 10% monthly inflation rate and a collection lag of 60 days for the payment of VAT by companies, the inflation-adjusted value of the VAT paid after 60 days would be 17% lower; with a monthly inflation rate of 20% it would be as much as 31% lower. 3 Real revenue losses for taxes paid once a year can be huge in such circumstances. Without monthly withholding, the real value of personal income taxes paid, e.g. in March for the previous calendar year would be 53% lower at a constant monthly inflation of 10%, and 74% lower at a monthly inflation of 20%. 4
The bout of inflation that started in mid-2021 has not seen inflation rates as high as in the 1970s and 1980s. The average annual inflation in advanced economies was 3.1% in 2021 and 7.3% in 2022, compared with double-digit rates in the late 1970s and the early 1980s. Nevertheless, inflation well above the long-term average of almost exactly 2% from 1990-2019 has significantly boosted tax revenues. General government revenue as a share of GDP increased in advanced economies by 0.9% of GDP in 2021 and by a further 0.4% of GDP in 2022, after being virtually constant between 1992 and 2019, at about 35½% in advanced economies and 45½% in the euro area (graph 1, left-hand panel).
Graph 1Changes in annual revenue and expenditure/GDP, 1992–2023 (in percentage points) DISPLAY Graph
Particularly buoyant have been the VAT receipts: in the first half of 2022, Spain collected 12% more VAT than in the first half of 2021, Germany and Italy 14%, and France as much as 18% more (Baert, 2022). What is remarkable is that this occurred despite indirect tax cuts amounting to about 0.4% of GDP at the euro area level (Checheritta-Westphal and Dorrucci, 2023), introduced to offset the much higher energy prices after Russia’s invasion of Ukraine.
High inflation and strong underlying growth do not account on their own for this extraordinary buoyancy of VAT. This suggests that structural factors have played a role as well, especially compared with the 1970s. One is that the VAT base has become much broader over time, expanding from goods to most services. Another is that its collection has become much more efficient, as the use of digital technologies greatly facilitates the enforcement of VAT payments. As a result, the share of VAT in total tax revenues of OECD countries has doubled to 20% on average since the 1970s, while the share of other taxes on goods and services has fallen from over 30% to about 12% (graph 2, left-hand panel). While the personal income tax still accounts on average for the largest share of tax revenues, VAT has become the main revenue source in 15 out of 38 OECD countries, mostly emerging market economies.
Graph 2Trends in tax structure in OECD countries (in per cent of total tax revenue) DISPLAY Graph
In parallel, the share of personal income taxes has declined to less than a quarter from the peak of nearly a third of total tax revenues in the early 1980s (right-hand panel). A key reason for this decline has been a significant flattening of highly progressive tax schedules since the 1980s, partly initiated by advances in the optimal income tax literature, notably Diamond and Mirrlees ( 1971a; 1971b), and forcefully pursued by the Thatcher government in the United Kingdom and the Reagan administration in the United States.
As in the case of VAT, the share of social security contributions has risen because digital technologies have further facilitated collection through income withholding (Keen and Slemrod, 2021). Social security contributions now represent over a quarter of total tax revenues compared with around 18% on average in the 1970s. These structural changes in the composition of tax revenues are important for interactions between inflation and fiscal policy because they have made the tax system more elastic with respect to inflation. Even finance ministries around the world seem not to have realised this shift until the latest bout of inflation. The revenue surprises – the difference between taxes collected and those initially projected in government budgets – amounted to as much as 3% of GDP on average in advanced economies and 2½% in emerging market economies (EMEs) in 2022 (IMF, 20213b). Not surprisingly, this has created the perception that treasuries had large surpluses at their disposal, and that revenues would remain ample in the coming years.
3 Inflation and public expenditure
The main difference between the impact of inflation on tax revenues and on public expenditure is the timing and scale of adjustment. Tax revenues react to inflation more or less immediately and proportionately – especially VAT, but also, via monthly withholding, personal income taxes and social security contributions. Public expenditure items adjust to inflation with varying lags.
More specifically, government purchases of goods and services and public investment costs increase in line with inflation, unless some items are subject to longterm pricing agreements. Goods and services purchases account on average for about 16% of total government expenditure in OECD countries, and public investment for about 9%, so about a quarter of public spending rises more or less one-to-one with inflation.
Pensions, social security and other transfers to households, which account on average for close to 40% of government spending, typically adjust within months via cost-of-living clauses. Public sector wages (22% of total spending on average) increase more slowly with inflation, as their dynamics is mostly set in multi-year contracts with public sector unions.
Finally, payments on newly issued government debt rise automatically with market interest rates and sovereign risk premia, while the increase in payments on outstanding debt depends on the maturity structure and the share of variable-rate debt. Total debt payments account for about 5% of spending, with large variation across countries.
This analysis suggests that up to two thirds of total government spending adjusts to inflation fairly quickly. In addition, governments are often compelled to provide special compensation to households and firms when prices of some important consumption items increase sharply. In 2022, for example, natural gas prices in Europe increased by up to seven times following Russia’s invasion of Ukraine. In response, governments provided energy and other cost-of-living subsidies to households and firms equivalent to 1-2½% of GDP (graph 3). Clearly, such one-off measures offset the initial dampening effect of inflation on the growth of nominal government expenditure.
Graph 3Estimated cost of energy measures in the EU (as a percentage of GDP) DISPLAY Graph
Cost of living subsidies provide an interesting example of interactions between inflation and public expenditure. They clearly raise government spending. But they also affect inflation, and possibly in a non-linear way. Model-based simulations suggest that support measures related to higher energy and other living costs in the euro area lowered inflation by 1 percentage point in 2022 relative to the scenario without subsidies (Bankowski et al., 2023). However, this initial dampening effect is reversed when the subsidies are withdrawn, especially if underlying prices of energy, food or other items remain high.
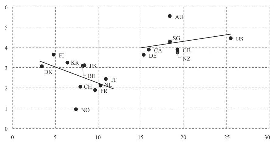
Moreover, the relationship between fiscal policy support and inflation could differ depending on the level of support (graph 4). Countries providing relatively low levels of extraordinary fiscal support to households and firms during the Covid pandemic (March 2020 – September 2021) tended to experience lower inflation (left-hand cluster around the left-hand regression line in graph 4). Conversely, countries providing high levels of support tended to experience higher inflation (right-hand cluster around the right-hand regression line). This suggests that focused subsidy programmes, like those, for instance, in France, Norway and Switzerland, may have helped lower near-term inflation, as intended by the authorities. However, unfocused and perhaps overly generous fiscal support, as e.g. in the United States, may have been pro-inflationary, as households spent the government transfers and thereby heightened the inflationary risks.
Graph 4Fiscal policy support and core inflation, 2020–22 DISPLAY Graph
Longer-term changes in the composition of public spending may have heightened the impact of inflation on the expenditure side of the budget. The share of two big-ticket items that adjust quickly to inflation – social security transfers and purchases of goods and services – has risen steadily over the past four decades (table 1). The share of other items that also adjust to inflation quickly – interest payments, public investment, and, with a longer lag, public sector wages – has declined; however, these items together account for a smaller proportion of total spending than transfers and purchases of goods and services.
These trends reflect broader social and political developments over the past four decades and are likely to continue, making expenditure even more responsive to inflation in the future. On the one hand, market-friendly political parties have put pressure on governments to downsize. As a result, the public sector wage bill has remained more or less the same or declined since the 1980s (table 1). On the other hand, the need for elected officials to cater to the interest of the electorate and maintain the level of public services that the public has grown accustomed to has led to more outsourcing, resulting in an increase in spending on goods and services. More importantly, population ageing has led to an expansion of social security transfers, which is likely to continue in the future.
Table 1Structure of government expenditure, as a percentage of GDP, period averages DISPLAY Table
4 Budget deficit and public debt under high inflation
With inflation boosting government revenue faster than expenditure, the overall budget balance tends to improve under high inflation. Empirical studies generally confirm a positive but mild effect of inflation on budget balances. Atinassi and Klemm ( 2016) and Berti et al. ( 2016), for example, found that a 1 percentage point increase in the GDP deflator growth was associated with a 0.1-0.2 percentage point improvement in the primary balance ratio in various samples of EU countries from 1970 to 2013. How long this improvement lasts depends on how quickly big-ticket items such as social security transfers and public sector wages catch up with inflation, whether new subsidy scheme are introduced to offset the loss of purchasing power for households, and also on the level of inflation. As noted above, at very high inflation rates real tax revenue may start to decline. Crucially, the extent of improvement depends on the response of monetary policy to inflation (discussed below).
In addition to its impact on revenue and expenditure, inflation typically lowers the ratios of budget deficit and public debt to GDP by inducing a rise in nominal GDP. In 2022, for example, strong real GDP growth and high inflation boosted nominal GDP by 6-15% in major economies (graph 5, left-hand panel). As a result, the ratio of overall general government deficit to GDP in advanced economies fell to 4¼% on average in 2022 from 7½% in 2021 (IMF, 2023c). Public debt to GDP ratios fell by 2-8 percentage points despite the rise in gross nominal debt by 3-14% (graph 5, centre and right-hand panels).
Graph 5High nominal GDP growth lowers public debt ratios DISPLAY Graph
Even when the government runs a balanced budget on an annual basis, treasuries need to borrow in financial markets to finance their day-to-day operations, as there is always some discrepancy between the time when taxes are collected and the time when various budget units pay their expenditures. Fiscal positions therefore depend importantly on market interest rates and, hence monetary policy, especially when the central bank raises policy rates to contain inflation. The higher the budget deficit and public debt, the more sensitive fiscal positions are in general to higher interest rates. For example, gross interest payments for the major advanced economies are projected to be around 1% of GDP larger on average in 2024 than in 2021. For Italy the interest rate bill is projected to be 4% larger, and for the United States and the United Kingdom as much as 5% larger (appendix graph A1). In some cases, the mechanical impact of higher policy interest rates may have increased in recent years despite governments issuing at longer maturities. This is because of large-scale central bank purchases of long-term sovereign bonds financed from reserves that commercial banks hold in the central bank. These reserves are remunerated at policy rates, which are typically higher than the interest rates governments paid to issue debt between 2012 and 2021. The relatively high cost of asset purchases implies lower central bank profits and hence lower central bank remittances to the government. For major central banks active in large-scale asset purchases, current figures indicate that some 20-40% of sovereign debt is in effect indexed to overnight interest rates (BIS, 2023).
Interest payments are also projected to rise in many EMEs by 2024, to about 2% of GDP in Croatia and Poland, 3% in Hungary, and more than 5% in India, Mexico and South Africa. Some EMEs also face higher interest payments on their foreign debt, as the tightening of external financing conditions due to high inflation abroad increases their foreign debt servicing costs. Where commercial banks hold large amounts of government bonds, banking and sovereign debt distress might coincide, as was the case in the euro area in 2010-12. Hardy and Zhu ( 2023), for instance, found evidence of greater co-movement of CDS spreads between banks and sovereigns in a range of countries since the pandemic.
So far, concerns about public debt sustainability have materialised mostly in lower-income economies, which have also seen most downgrades in their credit ratings. For example, Ghana, Lebanon, Sri Lanka, Suriname, Venezuela and Zambia are currently in outright default. But with little potential for deleveraging, weak growth outlook and high inflation, other EMEs may also experience debt strains.
In sum, the boost to tax revenues and deficit and debt to GDP ratios induced by inflation is temporary. Government expenditure generally catches up quickly when inflation is persistently high. Banić, Pripužić and Rebić ( 2023) present clear evidence of this effect for the case of Croatia. And tight monetary policy in response to inflation eventually slows the economic activity and the tax revenue intake. Deficits start to widen, and – with slower nominal GDP growth – deficit and debt to GDP ratios stop falling and start rising again, posing a threat to debt sustainability where public debt levels are already high.
5 Feedbacks from fiscal to monetary policy under high inflation
In addition to affecting fiscal positions directly through revenues and expenditures, inflation has second round effects on fiscal policy through interactions of fiscal positions with monetary policy. After the GFC, central banks have for many years called for fiscal expansion as monetary policy had reached limits in sustaining the recovery from the financial crisis (Mihaljek, 2021). During the Covid pandemic and after the start of the war in Ukraine, fiscal policy finally turned highly expansionary – arguably overly so in some advanced economies. But with inflation remaining stubbornly high since mid-2021, central banks have called for more restrictive fiscal policy to assist in the fight against inflation. To shed more light on such appeals, this section briefly analyses recent feedbacks from fiscal to monetary policy.
Fiscal positions have indeed improved since the pandemic but budget deficits remain high. The overall general government deficit in advanced economies fell to 4¼% of GDP on average in 2022 from 7½% in 2021; in EMEs it remained stable at 5¼% of GDP. 5 This compares with overall deficits in 2020 of 10¼% of GDP in advanced economies and 9% in EMEs. Global public debt fell to 92% of GDP over 2021-22, reversing half of the sharp increase in 2020 (IMF, 2023b). Cyclically adjusted fiscal positions in advanced economies also improved, on average by over 2 percent percentage points of potential GDP in 2022, but they deteriorated slightly in EMEs.
The improvement in fiscal positions is projected to be smaller or to come to a halt in 2023. The overall general government deficit and public debt in relation to GDP are forecast to remain more or less unchanged in advanced economies and to increase slightly in EMEs. In most countries, cyclically adjusted primary deficits are projected to shrink further or turn into small surpluses. That said, in many cases cyclically adjusted primary deficits would remain high: 3-4% of potential GDP in France, the United States and the United Kingdom, and 4-5% in China, India and Turkey.
The envisaged fiscal tightening should thus support central banks in the fight against inflation. Monetary policy may need to tighten less to help bring down inflation than would be the case with an expansionary fiscal policy.
Historical experience provides some support for positive reinforcement of monetary tightening by fiscal prudence. Since 1985, most advanced economies generated primary surpluses during monetary tightening episodes, while before 1985 most incurred primary deficits (graph 6, grey and black lines, left-hand panel). The more prudent fiscal stance was associated with lower inflation and the same growth rates around monetary tightening episodes than the looser stance prevailing before 1985 (right-hand panel).
Graph 6Monetary tightening and primary fiscal surpluses DISPLAY Graph
Tighter fiscal policy also helped improve monetary policy transmission in the past. Where fiscal policy consolidated to support monetary tightening, risk premia in long-term interest rates became less volatile and monetary policy lags less uncertain. In EMEs, lower sovereign risk decreased the probability of future currency depreciation, which is often a major hindrance to central banks’ disinflation efforts. Long-term bond yields of highly indebted sovereigns thus tended to rise more than those of less indebted ones in past monetary tightening episodes, especially in EMEs (graph 7, left-hand panel). This largely reflected shifts in credit risk premia: sovereign CDS spreads tended to widen much more for high-debt EMEs (right-hand panel).
In advanced economies, yield and credit premia changes were not statistically sensitive to policy rate hikes in the past, partly because of the long period of central bank purchases of government bonds. However, as these purchases are reversed, high-debt advanced sovereigns may face a jump in long-term bond yields and CDS spreads. While central banks could step in to provide support in such a situation, the deployment of balance sheet tools to counter market dysfunction when monetary policy is tightening would send confusing signals to financial market participants and the real economy.
Graph 7High public debt leads to larger yield and CDS increases when policy rates rise (in percentage points) 1 DISPLAY Graph
The projected fiscal tightening in 2023 should thus help monetary policy pull in the right direction. But many countries continue to run large budget deficits, and high public debt poses broader financial stability concerns with implications for the monetary policy stance. In other words, while helpful, tighter budget plans – even if fully implemented – may not provide enough support to disinflation.
6 Concluding remarks
This paper analysed the effects of high inflation on government revenue, expenditure, fiscal balances, and public debt by studying recent empirical and historical experiences in a range of advanced and emerging market economies. The main finding is that inflation tends to boost tax revenues and improve fiscal positions in the short term, but expenditure catches up quickly with inflation and offsets much of this improvement in the medium term.
The short-term improvement in fiscal positions is partly due to structural changes that have made modern tax systems much more elastic with respect to inflation – notably the expansion of VAT and the spread of digital technology in tax collection – and partly due to the practice of setting expenditure targets in annual budgets in nominal terms without automatic indexation, so that higher than budgeted inflation generally does not increase spending to the same degree and as quickly as it does revenues. The medium-turn deterioration in fiscal positions mainly reflects the fact that up to two thirds of total government spending adjusts to inflation fairly quickly, and that monetary tightening eventually dampens tax revenue and nominal GDP growth.
The key risk of inflation for fiscal stability is that strong tax revenue growth in the short-term creates the perception that treasuries have large surpluses at their disposal, and that tax revenues will remain ample in the future. This perception may tempt governments and parliaments to consider new spending programmes and tax cuts rather than saving the tax windfalls. Fiscal policymakers generally seem to be aware of this risk. But political economy pressures to increase public spending are strong when fiscal positions appear healthy.
The paper discussed one recent example of pressures to spend the tax windfalls – energy subsidies to households and firms in European countries after the Russian invasion of Ukraine. There are indications that countries providing higher subsidies tended to experience higher inflation, as unfocused fiscal support increased consumption and thereby heightened the inflationary risks. With more permanent transfer programmes such risks would increase and could quickly destabilise public finances.
Appendix
Graph A1Gross public debt and gross interest payments in advanced economies, as a percentage of GDP1 DISPLAY Graph
Notes
* The views expressed are those of the author and not necessarily those of the Bank for International Settlements.
The author thanks Adam Cap, Emese Kuruc and Sjur Nilsen for expert research assistance, and Aaron
Mehrotra, Damiano Sandri, the editor, and two anonymous referees for helpful discussions and comments.
1 Calculated from UK National Office of Statistics and Institute of Fiscal Studies data.
2 See Tanzi ( 1977) and Aghevli and Khan ( 1978) for original contributions, and Anušić and Švaljek ( 1996) for a recent country episode, that of Croatia in 1992–94.
3 Calculated as a given nominal amount of VAT divided by (1.1)2 or (1.2)2.
4 Calculated as where Y is an assumed monthly tax payment, p is monthly rate of inflation (for simplicity, both taken to be constant), and i is the month (1=January, etc).
5 Before the pandemic, general government overall deficits in advanced economies averaged 3% of GDP, and in EMEs 4½% (2019 averages). All fiscal data in this and next paragraph are from IMF ( 2023c).
* The views expressed are those of the author and not necessarily those of the Bank for International Settlements.
The author thanks Adam Cap, Emese Kuruc and Sjur Nilsen for expert research assistance, and Aaron
Mehrotra, Damiano Sandri, the editor, and two anonymous referees for helpful discussions and comments.
1 Calculated from UK National Office of Statistics and Institute of Fiscal Studies data.
2 See Tanzi ( 1977) and Aghevli and Khan ( 1978) for original contributions, and Anušić and Švaljek ( 1996) for a recent country episode, that of Croatia in 1992–94.
3 Calculated as a given nominal amount of VAT divided by (1.1)2 or (1.2)2.
4 Calculated as  where Y is an assumed monthly tax payment, p is monthly rate of inflation (for simplicity, both taken to be constant), and i is the month (1=January, etc).
5 Before the pandemic, general government overall deficits in advanced economies averaged 3% of GDP, and in EMEs 4½% (2019 averages). All fiscal data in this and next paragraph are from IMF ( 2023c).
Disclosure statement
No potential conflict of interest was reported by the author.
References
Aghevli, B. and Khan, M., 1978. Government deficits and the inflationary process in developing countries. IMF Staff Papers, 25(3), pp. 383-416 [ CrossRef]
Atinassi, M. and Klemm, A., 2016. The growth impact of discretionary fiscal policy measures. Journal of Macroeconomics, 49, pp. 265–279 [ CrossRef]
Banić, F., Pripužić, D. and Rebić, P., 2023. Short- and medium-term fiscal positions in a high-inflation environment: the case of Croatia. Public Sector Economics, 47(4), pp. 461-475 [ CrossRef]
Beer, S., Griffiths, M. and Klemm, A., 2023. Tax distortions from inflation: What are they? How to deal with them? Public Sector Economics, 4(3), pp. 353-386 [ CrossRef]
Checherita-Westphal, C. and Dorrucci, E., 2023. Update on euro area fiscal policy responses to the energy crisis and high inflation. ECB Bulletin, No. 2, pp. 94-98.
Diamond, P. and Mirrleees, J., 1971a. Optimal taxation and public production I: Production efficiency. American Economic Review, 61(1), pp. 8-27.
Diamond, P. and Mirrleees, J., 1971b. Optimal taxation and public production II: Tax rules. American Economic Review, 61(3), pp. 261-278.
IMF, 2023a. Inflation and disinflation: What role for fiscal policy? In: Fiscal Monitor April 2023: On the Path to Policy Normalization, pp. 25-47 [ CrossRef]
IMF, 2023c. Fiscal Monitor, April 2023: On the Path to Policy Normalization. Washington: International Monetary Fund [ CrossRef]
Keen, M. and Slemrod., 2021. Rebellion, rascals, and revenue: tax follies and wisdom through the ages. New York: Princeton University Press.
Mauro, R., Binder, A. and Zaman, A., 2015. A modern history of fiscal prudence and profligacy. Journal of Monetary Economics, 76(1), pp. 55-70 [ CrossRef]
Mihaljek, D., 2021. Interactions between fiscal and monetary policies: a brief history of a long relationship. Public Sector Economics, 45(4), pp. 419-432 [ CrossRef]
Nowotny, E., 1980. Inflation and taxation: reviewing the macroeconomic issues. Journal of Economic Literature, 18(3), pp. 1025-1049.
Tanzi, V., 1977. Inflation, lags in collection, and the real value of tax revenue. IMF Staff Papers, 24(1), pp. 154–167 [ CrossRef]
Aghevli, B. and Khan, M., 1978. Government deficits and the inflationary process in developing countries. IMF Staff Papers, 25(3), pp. 383-416 [ CrossRef]
Atinassi, M. and Klemm, A., 2016. The growth impact of discretionary fiscal policy measures. Journal of Macroeconomics, 49, pp. 265–279 [ CrossRef]
Banić, F., Pripužić, D. and Rebić, P., 2023. Short- and medium-term fiscal positions in a high-inflation environment: the case of Croatia. Public Sector Economics, 47(4), pp. 461-475 [ CrossRef]
Beer, S., Griffiths, M. and Klemm, A., 2023. Tax distortions from inflation: What are they? How to deal with them? Public Sector Economics, 4(3), pp. 353-386 [ CrossRef]
Checherita-Westphal, C. and Dorrucci, E., 2023. Update on euro area fiscal policy responses to the energy crisis and high inflation. ECB Bulletin, No. 2, pp. 94-98.
Diamond, P. and Mirrleees, J., 1971a. Optimal taxation and public production I: Production efficiency. American Economic Review, 61(1), pp. 8-27.
Diamond, P. and Mirrleees, J., 1971b. Optimal taxation and public production II: Tax rules. American Economic Review, 61(3), pp. 261-278.
IMF, 2023a. Inflation and disinflation: What role for fiscal policy? In: Fiscal Monitor April 2023: On the Path to Policy Normalization, pp. 25-47 [ CrossRef]
IMF, 2023c. Fiscal Monitor, April 2023: On the Path to Policy Normalization. Washington: International Monetary Fund [ CrossRef]
Keen, M. and Slemrod., 2021. Rebellion, rascals, and revenue: tax follies and wisdom through the ages. New York: Princeton University Press.
Mauro, R., Binder, A. and Zaman, A., 2015. A modern history of fiscal prudence and profligacy. Journal of Monetary Economics, 76(1), pp. 55-70 [ CrossRef]
Mihaljek, D., 2021. Interactions between fiscal and monetary policies: a brief history of a long relationship. Public Sector Economics, 45(4), pp. 419-432 [ CrossRef]
Nowotny, E., 1980. Inflation and taxation: reviewing the macroeconomic issues. Journal of Economic Literature, 18(3), pp. 1025-1049.
Tanzi, V., 1977. Inflation, lags in collection, and the real value of tax revenue. IMF Staff Papers, 24(1), pp. 154–167 [ CrossRef]
|