|
|
|
Abstract This paper analyses the impact of public pensions on resource allocation in a small open economy. In particular, we focus on the economic implications of leisure-proportional benefits. It is well known that a pay-as-you-go scheme can improve social welfare when the population growth rate exceeds the interest rate, which we call the “Aaron effect”. We analyse the changes in labour supply, savings, and social welfare from an increase in the public pension taking into account the Aaron effect. We obtain the following results. First, we show that the effect of public pensions on labour supply includes the Aaron effect, but regardless of its sign, labour supply decreases as public pensions increase. Second, the effect of public pensions on savings does not include the Aaron effect, and savings decrease as public pensions increase. Third, the effect of the introduction of public pensions on social welfare consists only of the Aaron effect.
Keywords: ocial security; endogenous retirement; labour supply; savings; social welfare
JEL: E21, H31, H55, J22
1 Introduction
This paper analyses the impact of public pensions on resource allocation in a small open economy in which the labour supply of the older generations is endogenous. In particular, we focus on the economic implications of leisure-proportional benefits.
Leisure-proportional benefits have been discussed in Michel and Pestieau ( 2013), Miyazaki ( 2019), Liu and Thøgersen ( 2020), Kobayashi and Takahata ( 2022), and others. They consider retirement pensions, with which benefits begin on condition of retirement, considered in the model a la Diamond ( 1965) in the setting in which individuals have two periods of life. These studies examine the impact of public pensions on retirement decisions and resource allocation by assuming leisure to be post-retirement time.
Although the effects of leisure-proportional benefits have begun to emerge from these earlier studies, there are still some points that remain unclear. For example, Michel and Pestieau ( 2013) show that the pay-as-you-go scheme has both positive and negative effects on the steady-state capital-labour ratio, but the mechanism by which this occurs is not explained. In addition, Kobayashi and Takahata ( 2022) show that the introduction of funded schemes increases the steady-state capitallabour ratio, which is also the case.
Therefore, in this paper, we conduct an analysis that assumes a small open economy in order to deepen our understanding of the effects of leisure-proportional benefits. As van Groezen, Leers and Mejidam ( 2003) write “for analytical convenience’’, this assumption makes the analysis easier 1. The above studies all assume a closed economy, so that the capital-labour ratio and factor prices are determined by market equilibrium. In a small open economy, however, where factors of production can move freely, factor prices are given. The capital-labour ratio is also a given condition under a first-order homogeneous production function. This paper takes advantage of this property to analyse the effects of public pensions, including leisure-proportional benefits, on labour supply, savings, and social welfare. In Japan, public pension insurance premiums are collected through wage-proportional taxes, and benefits are paid in a form close to leisure-proportional benefits, and the model in this paper is based on this setting.
In particular, Michel and Pestieau ( 2013) show that an increase in the pay-as-yougo scheme reduces labour supply in the setting of a logarithmic utility function. The study examines the impact of the pay-as-you-go scheme on the capital-labour ratio. However, it does not determine whether it increases or not. Furthermore, the impact of the pay-as-you-go scheme on welfare is examined and it is shown that welfare is improved when the population growth rate is higher than the interest rate.
Liu and Thøgersen ( 2020) examine the impact of the pay-as-you-go scheme on the capital-labour ratio in the CES utility function setting. The study identifies a special case where the introduction of a pay-as-you-go scheme has no effect on the capital-labour ratio. This occurs when the elasticity of substitution between consumption and leisure is equal to 1. The study also shows that the impact of the pay-as-you-go scheme on the capital-labour ratio is positive when the elasticity is less than 1. Furthermore, they examine the conditions under which the introduction of a pay-as-you-go scheme improves welfare.
Kobayashi and Takahata ( 2022) point out that there is a possibility of improving welfare by introducing a funded scheme depending on the relationship between the population growth rate and the interest rate. To clarify the mechanism by which social welfare is improved by the introduction of public pensions, it would be important to know how the public pension system affects labour supply and savings in an economy where factor prices are fixed.
It is well known in the public pension literature that a pay-as-you-go scheme improves social welfare when the population growth rate exceeds the interest rate, because the rate of return on the pay-as-you-go scheme is the population growth rate. This result holds even if the economy does not account for capital accumulation, as shown in Aaron ( 1966). In this study, we will not take capital accumulation into account, but we will analyse the mechanism by which labour supply and savings are affected by the public pension by decomposing the change into several effects. One of these effects is related to the difference between the population growth rate and the interest rate. We will call this the “Aaron effect 2”.
The results of this study are as follows. First, the effect of public pensions on labour supply is always negative, although there are two effects. If the population growth rate were lower than the interest rate, the Aaron effect would reduce potential lifetime disposable income, so labour supply would increase with a concomitant reduction of leisure. In addition, the relative price of leisure is reduced by both wage-proportional taxes and leisure-proportional benefits, so there is a negative effect on labour supply. The former effect (the Aaron effect) is dominated by the latter
Second, the effect of public pensions on savings is always negative, although there are three effects: the Aaron effect, the “DIY effect”, and other effects. In particular, it is shown that the Aaron effect does not exist at all in the case of leisure-proportional benefits, while it does exist in the case of fixed benefits. The effect that we call the DIY effect corresponds to the effect of reducing the source of savings, since Disposable Income in the Young Period is reduced by the collection of taxes. In addition, wage-proportional contributions and leisure-proportional benefits reduce the relative price of leisure, which has a negative impact on consumption in the young period, but this is equivalent to the effect of increasing savings.
Third, as is well known, the social welfare impact of public pensions can be positive if the population growth rate is higher than the interest rate.
The structure of this paper is as follows. In section 2, we present the basic settings of the model and conduct an analysis in the absence of public pensions. In section 3, we introduce public pensions and analyse resource allocation mainly for the case of wage-proportional taxes and leisure-proportional benefits. Section 4 is a summary.
2 Model
In this study, we assume a small open economy. Therefore, factor prices such as the wage rate w and the interest rate r are exogenously determined. We consider a two-generation overlapping generations model, and assume that two generations coexist simultaneously in a given period. Assume that there are Nt households in the country born in period t. Assume that the population growth rate for each period is exogenously given by n. This gives the relationship expressed by equation (1) below.
Households born in period t that survive two periods consume ct and save st with labour income w when they are young in period t. We assume that households exogenously supply one unit of labour when they are young. They also consume dt+1 with labour income wzt+1 and the savings with interest Rst when they are old in period t +1, where zt+1 is the endogenously determined labour supply when households are old in period t +1, and where R ≡ 1 + r. The household budget constraints in such a case are shown in equations (2) and (3) below for young and old, respectively;
Suppose that households receive utility from ct, d t+1, and 1– z t+1, which is leisure in period t+1. We assume that the utility function is logarithmic, as shown in equation (4). | Ut = U(ct, dt+1, 1-zt+1) = ln ct + β {ln dt+1 + γ ln (1-zt+1)} | (4) |
The first-order conditions are derived for st and z t+1 as shown in equations (5) and (6).  | (5) |
 | (6) |
Solving equations (5) and (6) for st and zt+1 and substituting them into equations (2) and (3), we obtain equations (7)-(10) as follows.  | (7) |
 | (8) |
 | (9) |
 | (10) |
In this paper, we make the following assumptions so that labour supply and savings are positive in the absence of a public pension. Assumption 1: 1 + β – βγR > 0 Assumption 2: (1 + γ)βR – 1> 0.
3 Introduction of public pensions
In this section, we consider the situation in which the government introduces a payas-you-go scheme for public pensions. We consider the case of wage-proportional taxes and leisure-proportional benefits 3. This combination of taxes and benefits is familiar from the papers of Michel and Pestieau ( 2013), Miyazaki ( 2019), Liu and Thøgersen ( 2020), Kobayashi and Takahata ( 2022), and others.
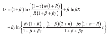
In the following, we will analyse how savings, labour supply, and economic welfare will change with the introduction of public pensions. At this point, since we are considering the steady state welfare of a representative individual, we assume a social welfare function as shown in equation (11) below: | U = lnc + β{lnd + γln(1-z)} | (11) |
We denote the contribution rates for the pay-as-you-go scheme as τ. Taxes are levied at these rates proportionally on wage income earned in both the young and old periods. In addition, the pension benefits are proportional to the length of leisure in the old period. Here, bt is the pension benefit coefficient in period t. In this case, the household budget constraints in the young and old periods are shown in equations (12) and (13).
| dt+1 = Rst + (1-τ)wzt+1+ bt+1(1-zt+1) | (13) |
The government budget constraint for the pay-as-you-go scheme is represented in equation (14) as follows. | Nt+1τw+Ntτwzt+1 = Nt bt+1(1-zt+1) | (14) |
From equation (14), per capita pension benefit for the scheme is derived as equation (15). | τw(1+n+zt+1)=bt+1(1-zt+1) | (15) |
The household’s lifetime budget constraint in this case is given by equation (16).  | (16) |
The right-hand side of equation (16) is hereafter referred to as the potential lifetime disposable income. In considering the utility maximizing behaviour of households, government budget constraints are not taken into account.
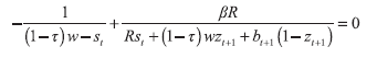
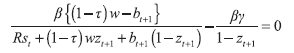
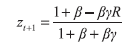
When the household utility is maximised with respect to st and zt+1, the first-order conditions will be as shown in (17) and (18) below.  | (17) |
 | (18) |
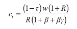
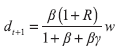
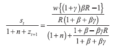
Given the government’s budget constraints, st, zt+1, ct, and dt+1 are solved in equations (19)-(22) as follows.  | (19) |
 | (20) |
 | (21) |
 | (22) |
In this case, the gross savings per capita are calculated as follows:  | (23) |
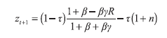
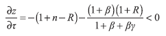
To see the effect of the public pensions on labour supply, we differentiate z with respect to τ, which is derived in equation (24) as follows:  | (24) |
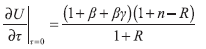
Equation (24) shows that an increase in the pay-as-you-go scheme affects labour supply in two ways: the Aaron effect due to a change in the potential lifetime disposable income, and the other effects caused by a decrease in the after-tax wage rate. Under Assumption 1, the sum of the two terms is negative.
For the first term, if the population growth rate is higher than the interest rate, i.e. 1 + n – R > 0, the potential lifetime disposable income, which is the right-hand side of the above equation (16), can be increased by introducing the pay-as-you-go scheme. This increase in the potential lifetime disposable income leads to an income effect that increases leisure and reduces labour supply, which we will call the Aaron effect.
In the second term, due to wage-proportional contributions and leisure-proportional benefits, the increase in the public pension reduces the after-tax wage rate, which discourages household labour supply. Comparing the labour supply derivatives between the leisure-proportional benefits and fixed benefits cases, it is shown that the leisure-proportional benefits have a greater effect in reducing the amount of labour supply that people are willing to provide text 4.
This analysis shows that the sum of the two effects is always negative in total, as shown in Proposition 1.
Proposition 1. The effect of public pensions on labour supply includes the Aaron effect, but regardless of its sign, labour supply decreases as public pensions increase. Here we summarise the effects of public pensions on labour supply in table 1. The above case is considered as PT & PB in the right column, compared with the other cases of ND (No Distortion case; lump-sum tax and lump-sum benefits), PT (WageProportional Tax case; wage-proportional tax and lump-sum benefits), and PB (Leisure-Proportional Benefits case; lump-sum tax and leisure-proportional benefits) 5.
Table 1The effect of pay-as-you-go scheme on labour supply DISPLAY Table
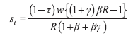
Next, we will examine the impact of the introduction of public pensions on savings. Equation (25) shows the derivative of savings s with respect to τ, the contribution rate for the pay-as-you-go scheme, which shows the effect of the pay-as-you-go scheme on savings.  | (25) |
It does not include the term for the Aaron effect, which results from changes in the potential lifetime disposable income. This is clear from the fact that there is no term associated with 1 + n – R. It is shown that there is no Aaron effect on savings in the case of leisure-proportional benefits, while it exists in the case of fixed benefits.
The first term is the DIY effect. Since the disposable income of young households is reduced by the tax levy, such a taxation has the effect of reducing the source of savings, and the DIY effect has a negative sign.
The second term consists of the other effects. The decrease in the relative price of leisure, caused by both wage-proportional taxes and leisure-proportional benefits, has a negative effect on consumption when individuals are young, but it is equivalent to the effect of increased savings.
Under Assumption 2, the sum of these two effects is negative.
Proposition 2. The effect of public pensions on savings does not include the Aaron effect, and savings decrease as public pensions increase.
We summarise the effects of the public pension on savings in table 2. The above case is considered as PT & PB in the right-hand column, compared with the other cases of ND, PT, and PB. It is clear that the Aaron effect disappears only when the leisure-proportional benefits are considered. Table 2The effect of pay-as-you-go scheme on savings DISPLAY Table
Finally, we will shift our focus to social welfare. From equations (20)-(22), social welfare is represented by the tax rates τ in equation (26).  | (26) |
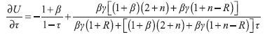
To see the impact of public pensions on social welfare, we calculate the derivatives of the social welfare function with respect to the contribution rates for each scheme in equation (27) as follows.  | (27) |
 | (28) |
It is shown that if the contribution rate is sufficiently small, social welfare is improved by increasing the contribution rate as long as 1 + n – R > 0. Even if the condition 1 + n – R > 0 holds, when the public pension is large enough, expanding the public pension worsens welfare. This is a well-known result that has been studied in the literature where capital accumulation is not explicitly considered, such as Aaron (1966) 7.
Proposition 3. The effect of the introduction of public pensions on social welfare consists only of the Aaron effect. We summarise the effects of the introduction of public pensions on social welfare in table 3. It is verified that there is only the Aaron effect for these four cases.
Table 3The effect of pay-as-you-go scheme introduction on social welfare DISPLAY Table
4 Conclusion
This paper analyses the economic impact of leisure-proportional benefits in a small open economy. In particular, it examines the effects of public pension contributions and benefits on labour supply, savings, and social welfare. The results of the study are presented below.
First, it is shown that the introduction of pensions discourages labour supply, except in the case of lump-sum contributions and lump-sum benefits (ND). It is shown that the wage-proportional contributions and leisure-proportional benefits have the effect of encouraging leisure and discouraging labour supply. Even in the cases where the Aaron effect is positive, the overall effect on labour supply is negative. Second, under the assumption of leisure-proportional benefits, there is no Aaron effect on savings. However, due to the effect of disposable income in the young period and the other effects, the pay-as-you-go scheme reduces total savings in all cases. Third, this study has shown that the introduction of pay-as-you-go public pension schemes can improve social welfare, regardless of the combination of contributions and benefits. This is due to the Aaron effect, where an increase in public pensions can increase the potential lifetime disposable income if the population growth rate exceeds the interest rate.
The policy implication of this study is as follows. A small amount of public pension can improve welfare when population growth rates are higher than interest rates. If the public pension is too large, the welfare cannot be improved.
The paper leaves some questions open. First, even in the case of leisure-proportional benefits, it is clear that the pay-as-you-go schemes can change the potential lifetime disposable income, which is the Aaron effect, but this paper does not provide any explanation as to why it has no effect on savings.
Second, the results in this study are obtained under a logarithmic utility function. Therefore, the robustness of the results obtained in this study is limited. To better understand the mechanism, the model should be considered in a general form using Slutsky decomposition. This issue should be investigated in future studies.
Third, how per capita capital changes when public pensions increase has not been analysed. This should be considered in a model in which capital accumulation is considered. Since this study is conducted on a model of a small open economy, this point should be investigated in another study.
Notes
* We are indebted to Mitsunari Ishida, Koichi Miyazaki, Atsushi Nakamoto, Taro Ohno, and the two anonymous referees for valuable comments and suggestions.
1 See Footnote 9 of van Groezen, Leers and Mejidam ( 2003: 239).
2 Andersen and Bhattacharya ( 2013) call the property that a pay-as-you-go system improves welfare when the economy is in a dynamically inefficient state the Aaron-Samuelson result. This reflects the results in Samuelson's ( 1975) model with endogenous capital accumulation, but our study considers a small open economy with exogenous capital accumulation.
3 We also consider the cases of a lump-sum tax and lump-sum benefits (ND, representing no distortion), a wage-proportional tax and lump-sum benefits (PT), and a lump-sum tax and leisure-proportional benefits (PB). The results are summarised in Tables 1, 2, and 3.
4 The details of PT case and PB case are omitted for reasons of space.
5 In the ND and PB cases, public pension contributions are collected as a lump-sum tax. In this case, whether the taxes are collected when households are young or not is only important for the DIY effect, since the tax is not distortionary. For reasons of space, the other three cases (ND, PB, and PT) are not discussed in detail.
6 DIY denotes Disposable Income in Young Period.
7 There is another strand of literature that takes capital accumulation into account to consider dynamic efficiency, starting with Diamond ( 1965).
* We are indebted to Mitsunari Ishida, Koichi Miyazaki, Atsushi Nakamoto, Taro Ohno, and the two anonymous referees for valuable comments and suggestions.
1 See Footnote 9 of van Groezen, Leers and Mejidam ( 2003: 239).
2 Andersen and Bhattacharya ( 2013) call the property that a pay-as-you-go system improves welfare when the economy is in a dynamically inefficient state the Aaron-Samuelson result. This reflects the results in Samuelson's ( 1975) model with endogenous capital accumulation, but our study considers a small open economy with exogenous capital accumulation.
3 We also consider the cases of a lump-sum tax and lump-sum benefits (ND, representing no distortion), a wage-proportional tax and lump-sum benefits (PT), and a lump-sum tax and leisure-proportional benefits (PB). The results are summarised in Tables 1, 2, and 3.
4 The details of PT case and PB case are omitted for reasons of space.
5 In the ND and PB cases, public pension contributions are collected as a lump-sum tax. In this case, whether the taxes are collected when households are young or not is only important for the DIY effect, since the tax is not distortionary. For reasons of space, the other three cases (ND, PB, and PT) are not discussed in detail.
6 DIY denotes Disposable Income in Young Period.
7 There is another strand of literature that takes capital accumulation into account to consider dynamic efficiency, starting with Diamond ( 1965).
Disclosure statement
Authors have no conflict of interest to declare.
References
Aaron, H., 1966. The Social Insurance Paradox. Canadian Journal of Economics and Political Science, 32(3), pp. 371-374 [ CrossRef]
Andersen, T. and Bhattacharya, J., 2013. Unfunded Pensions and Endogenous Labor Supply. Macroeconomic Dynamics, 17(5), pp. 971-997 [ CrossRef]
van Groezen, B., Leers, T. and Mejidam, L., 2003. Social Security and Endogenous Fertility: Pensions and Child Allowances as Siamese Twin. Journal of Public Economics, 87(2), pp. 233-251 [ CrossRef]
Kobayashi, W. and Takahata, J., 2022. A Funded Pension System with Endogenous Retirement. Asian Journal of Economic Modelling, 10(3), pp. 207-215 [ CrossRef]
Liu, P. and Thøgersen, J., 2020. Pay-As-You-Go Pensions and Endogenous Retirement. Macroeconomic Dynamics, 24(7), pp. 1700-1719 [ CrossRef]
Miyazaki, K., 2019. Optimal Pay-as-You-Go Social Security with Endogenous Retirement. Macroeconomic Dynamics, 23(2), pp. 870-887 [ CrossRef]
Samuelson, P., 1975. Optimum Social Security in a Life-Cycle Growth Model. International Economic Review, 16(3), pp. 539-544 [ CrossRef]
Aaron, H., 1966. The Social Insurance Paradox. Canadian Journal of Economics and Political Science, 32(3), pp. 371-374 [ CrossRef]
Andersen, T. and Bhattacharya, J., 2013. Unfunded Pensions and Endogenous Labor Supply. Macroeconomic Dynamics, 17(5), pp. 971-997 [ CrossRef]
van Groezen, B., Leers, T. and Mejidam, L., 2003. Social Security and Endogenous Fertility: Pensions and Child Allowances as Siamese Twin. Journal of Public Economics, 87(2), pp. 233-251 [ CrossRef]
Kobayashi, W. and Takahata, J., 2022. A Funded Pension System with Endogenous Retirement. Asian Journal of Economic Modelling, 10(3), pp. 207-215 [ CrossRef]
Liu, P. and Thøgersen, J., 2020. Pay-As-You-Go Pensions and Endogenous Retirement. Macroeconomic Dynamics, 24(7), pp. 1700-1719 [ CrossRef]
Miyazaki, K., 2019. Optimal Pay-as-You-Go Social Security with Endogenous Retirement. Macroeconomic Dynamics, 23(2), pp. 870-887 [ CrossRef]
Samuelson, P., 1975. Optimum Social Security in a Life-Cycle Growth Model. International Economic Review, 16(3), pp. 539-544 [ CrossRef]
|