|
|
|
Abstract While wage developments are primarily driven by changes in real economic activity, the role of labour force allocation is often overlooked. Using Croatian establishment-level data (2002-2023), we apply static and dynamic Olley-Pakes decompositions to assess how labour reallocation impacts wages and productivity. The wage allocation premium, defined as the ratio between actual aggregate wage and wage under random worker distribution, reveals a countercyclical impact until 2021, turning procyclical after the pandemic. Dynamic decomposition supports these findings and demonstrates that entering firms depress average wages, while exiting firms raise them slightly. Applying the same approach to productivity, we find that labour reallocation mitigated productivity losses during the recession and moderated growth during the recovery. Unlike wage patterns, this countercyclical effect on productivity persisted post-pandemic. Since 2020, wage allocation premium growth has outpaced the gross value added (GVA) allocation premium, which may have pressured firms to raise prices, potentially contributing to inflation.
Keywords: wages dynamics; decomposition; allocation premium; productivity; firm composition effect
JEL: D61, E24
1 Introduction
Wage developments are usually explained by macroeconomic factors, such as economic activity, labour demand and inflation. During periods of economic growth, increased demand for labour typically leads to rising wages. Conversely, during recessions characterized by low demand for workers and rising unemployment, there is a downward pressure on wages. The inverse relationship between wages and unemployment is traditionally described by the Phillips curve, which suggests that tighter labour markets push wages higher as firms compete for a limited workforce, whereas weaker demand tends to suppress wage growth (Cuadrado and Tagliati, 2018; ECB, 2022).
However, cyclical drivers alone cannot entirely capture wage developments (Nickel et al., 2019). While wages are influenced by cyclical factors, they also often reflect acyclical developments due to institutional characteristics (such as the wage-bargaining setup and the level of unionization) and structural factors (including demographics, migration, and globalization).
The acyclical behaviour of wages has been attributed in the literature to the composition effects, which exert a countercyclical influence (Abraham and Haltiwanger, 1995; Verdugo, 2016; Daly and Hobijn, 2017; ECB, 2019; Nickel et al., 2019; Christodoulopoulou and Kouvavas, 2022). During recessions, the elimination of low-paying jobs, which are then excluded from average wage calculations, leads to a lower decrease in the average wage than would otherwise occur. Conversely, during economic upturns, the re-entry of these workers to the labour market exerts a downward pressure on aggregate wages.
There are two main approaches to analysing composition effects on wages: examining changes in the structure of the workforce and worker characteristics (worker composition effect) and changes in the structure of firms and firm characteristics (firm composition effect). Worker composition effects refer to changes in aggregate wages driven by variations in employee attributes such as education, experience, occupation, or demographic factors (Daly and Hobijn, 2017). For example, if higher-skilled or more experienced workers account for a larger share of the labour force, average wages may rise even if individual wages remain unchanged. In contrast, firm composition effects arise from differences in productivity, industry dynamics, or wage-setting policies across the firms. More productive firms, firms with higher market power, or those operating in capital-intensive industries may offer higher wages irrespective of the employee mix. In particular, due to employer heterogeneity, even among workers with identical skills, there could exist wage differentials (Card, Heining and Kline, 2013).
In this paper, we examine changes in firm composition and analyse how variations in firm size influence aggregate wages in Croatia. In particular, although highly correlated, wage developments in Croatia, cannot be fully explained by the dynamics of real economic activity (figures 1a and 1b). During the prolonged recession in Croatia from 2009 to 2014, real GDP dropped by 11%, while average gross real wages decreased less, by only 5%. From 2014 to 2019, real GDP grew by 16%, and wages again grew less, by about 13%. In addition, amidst the pandemic crises, real GDP growth dropped by more than 8% in 2020 and the real gross wage increased by 2.6%. Since the end of the pandemic, wages in Croatia have shown a significant increase, driven by both the rebound in economic activity and the loss of purchasing power due to elevated inflation.
Figure 1Real GDP and gross wage in Croatia, 2002-2024 DISPLAY Figure
Following the work of Adamopoulou et al. ( 2019), our assumed background mechanism is that workers move from low-paying firms to high-paying firms. These shifts can lead to changes in aggregate wages, even if wages within individual firms remain unchanged. As a result, aggregate wages can increase not only because individual firms raise their wages, but also because workers move to better paying firms. For example, in a simple economy with only two firms, each with the same number of employees, one firm might pay twice as much as the other. In this scenario, aggregate wage can increase through wage increases at one or both firms, but also through the reallocation of workers from the lower-paying firm to the higher-paying firm. As higher paying firms are likely also more productive (Abowd, Kramarz and Margolis, 1999), this has a positive effect on aggregate productivity as well, as a significant part of the productivity growth in industry reflects reallocation of inputs (capital or labour) from low to high productivity firms (Maliranta and Määttänen, 2015).
In estimating the firms’ composition effect on the aggregate wage, we apply the Olley and Pakes (below: OP) decomposition. The OP decomposition was introduced in the realm of aggregate productivity (Olley and Pakes, 1996; Melitz and Polanec, 2015; Hyytinen, Ilmakunnas and Maliranta, 2016) and is a standard method of measuring allocative efficiency (CompNet, 2021; Valdec and Zrnc, 2018). To the best of our knowledge, only Adamopoulou et al. () 2019 have applied this method to a firm-level dataset and interpreted changes in wages due to firm composition within the framework of allocative efficiency.
We further extend our analysis with a dynamic component accounting for entering and exiting firms based on Melitz and Polanec ( 2015).
The data from the Croatian Financial Agency database (below Fina) on establishments in Croatia from 2002 to 2023 are used in our analysis. 1 While our analysis focuses solely on firm-level data without information concerning individual workers, we hypothesize that changes in the composition term reflects the reallocation of workers between low-wage and high-wage firms. Thus, in addition, we also measure the impact of labour reallocation on the productivity, proxied by gross value added (GVA) per worker, and interpret our results in the context of allocative efficiency. There is only limited scope for comparison of these Croatian results, which we have been able to correlate with the results found in Adamopoulou et al. ( 2019). Keeping this main shortcoming in mind, we hope that our analysis will inspire further research and discussions. The main contribution of this study lies in its enrichment of the existing literature and its provision of a deeper understanding of wage dynamics in Croatia. As far as we know, ours would be the first application of OP decomposition techniques to detailed firm-level data on wages for Croatia.
The paper is structured as follows. In chapter 2 we proceed with the review of the existing literature. After that, in chapter 3 we explain the data used and the data cleaning process. In the methodological part in chapter 4 we describe the static and dynamic Olley and Pakes (OP) decomposition and the OP term, representing the covariance between firm size and wage (productivity per worker). We derive the indicator of wage allocation premium, which reflects how much higher the aggregate wage is compared to the scenario with random worker allocation. In addition, we introduce the indicator of wage and GVA per worker allocation premium. Moreover, to isolate the contribution of the worker reallocation from low wage (productivity) to high wage (productivity) firms to the aggregate wage (productivity) dynamics, we calculate counterfactual or fixed-weight wage (productivity) growth, i.e., that which would obtain if the allocation was the same as in the base year. The obtained results of OP decomposition on wages and productivity are presented in chapter 5 while we conclude in chapter 6.
2 Literature overview
Wage developments are typically attributed to macroeconomic factors, such as overall economic activity and inflation. In general, there is a negative relationship between the wages and the labour market slack. Traditionally, the Phillips curve, which captures the inverse relationship between wages and unemployment, has been used to describe wage developments, augmented with past and/or anticipated inflation and productivity (ECB, 2022). The Phillips curve model is a standard framework in monetary policy analysis and wage growth forecasting (Cuadrado and Tagliati, 2018; Bishop and Greenland, 2021; ECB, 2022).
However, macroeconomic factors alone cannot entirely capture observed wage developments. For example, in the euro area, there was a continued overestimation of the wage growth after the Great Recession based on Phillips curve. The analysis conducted for the euro area and other European Union countries by Nickel et al. ( 2019) showed that cyclical factors (labour market slack, low inflation, and muted productivity growth) could not fully explain overall subdued wage growth. Thus, apart from cyclical factors, factors such as labour market institutions (Koeniger, Leonardi and Nunziata, 2007), bargaining power (Budrys, Porqueddu and Sokol, 2022), and educational and skill mismatches (Allen and van der Velden, 2001) can further distort wage dynamics.
Wage stickiness, or the tendency for wages to be resistant to change in response to economic shocks, can prevent wages from adjusting quickly to market conditions (Goette, Sunde and Bauer, 2007; Babecky et al., 2012; Branten, Lamo and Rõõm, 2018). Even though wages could be sticky in both directions, a peculiar downward rigidity has been observed (Halton, 2013). If this was not case, then in recession when demand for goods and services falls, wages would adjust accordingly.
The phenomenon of wage rigidity is analysed starting from the seminal works of Blinder and Choi ( 1990), Agell and Lundborg ( 1995), Campbell and Kamlani ( 1997).
A high level of unionization and the wage bargaining system are usually cited as factors determining downward wage rigidity (or “stickiness”). Branten, Lamo and Rõõm ( 2018) analyses downward wage rigidity for a large number of European Union countries (including Croatia) as part of the Wage Dynamic Network (WDN) project. They identified the presence of nominal wage downward rigidity during the Great Recession and in the period 2010-2013 characterised by low wage growth.
The literature has highlighted not only wage rigidity but also the significance of employee and firm composition effects in explaining wage dynamics (Kydland and Prescott, 1993; Abraham and Haltiwanger, 1995; Puente and Galán, 2014; Verdugo, 2016 ; Christodoulopoulou and Kouvavas, 2022; Daly and Hobijn, 2017; ECB, 2019; Nickel et al., 2019 ). A significant role of composition is seen during downturns, when low-paid workers are disproportionately affected, influencing average wage growth. During recessions, the loss of low-paying jobs, which are then excluded from average wage calculations, leads to a lower decrease in the average wage than would otherwise occur, demonstrating the countercyclical nature of composition effects and mitigating observed wage decreases (Adamopoulou et al., 2019).
Worker or employee composition effects refer to changes in aggregate wages resulting from shifts in employee characteristics, such as education, experience, occupation, or demographic factors. The employee composition effect was observed in the euro area (ECB, 2019) with an upward impact on aggregate wages during downturns as lower-paid workers, such as the young and less skilled, are typically the first to be laid off. Conversely, during economic upturns, the re-entry of these workers on the labour market exerts a downward pressure on aggregate wages. Daly and Hobijn ( 2017) found evidence of the acyclical behaviour of aggregate real wages in the United States due to composition effects, as procyclical movements in incumbent wages are offset by countercyclical movements in wages of entering and exiting workers.
The firm composition effect explains increases in the aggregate wage due to changes in firm characteristics, such as productivity, profitability or sectoral shifts. The findings of Gruetter and Lalive ( 2004) point to the importance of the firm composition effect. By using Austrian matched employer-employee data, they analysed the role of firms in wage setting. They utilised data at the worker level and studied how their salary changed after switching jobs. They found that sectoral differences comprise three quarters of the variance in wages, while firms’ characteristics account for one quarter of the variance. Nevertheless, even though workers switching jobs within sector may experience lower wage changes than those who switch sectors, such shifts are important to study because they happen more frequently. Job changers moving between firms also have higher wage growth than those moving within firms in the UK, as revealed by the analysis of Office for National Statistics ( 2019). They also showed that job changers’ wage growth is more cyclical and reacts faster to an economic downturn than that of job stayers, who are more linked to wage settlements which lag the cycle.
Adamopoulou et al. ( 2019) use the phrase firm composition to describe worker reallocation among firms, and thus changes in the overall structure of firms. These shifts can lead to changes in aggregate wages, even if wages within individual firms remain unchanged. As a result, aggregate wages can increase not only because individual firms raise their wages, but also because workers move to higher paying firms. The authors observed the growing impact of firms’ characteristics on aggregate wage growth in Italy, outweighing that of workers’ characteristics. To distinguish the firm composition effect from other influences, they applied Olley and Pakes (OP) decomposition to wages (Olley and Pakes, 1996). To our knowledge, this represents the only published research utilizing OP decomposition on aggregate wages. The authors’ primary idea was that worker reallocation among firms and subsequent changes in firm market share could affect aggregate wages without altering individual firm wages. Their findings revealed that the increase in average wage was more pronounced in more productive sectors and interpreted an increase of the correlation term between average wage and size (“OP term”) as an improvement in allocative efficiency.
As for wage developments in Croatia, the prevailing literature is relatively scarce, mainly focusing on wage trends and analysing differences between wages in the public and private sector (Nestić, Lovrinčević and Mikulić, 2001; Nestić, 2005; 2009 ; Rubil, 2013; Nestić, Rubil and Tomić, 2015). Insightful are findings from the Work Dynamic Network (WDN) project on the wage-setting system in Croatia (Kunovac and Pufnik, 2015; Branten, Lamo and Rõõm, 2018). It is only CNB ( 2019) that provides an analysis of the composition effect on wages in Croatia using aggregate data and focusing on changes in the employment structure.
Nestić ( 2005) uses micro data from the Labour Force Survey in Croatia and applies a quantile regression technique for estimating wage determinants, concentrating on the public-private sector wage gap. The author found that wages in Croatia increase with educational level, however there is still a gap between male and female wages, and public sector employees enjoy a wage premium compared to the private sector (further research on the public sector wage premium can be found in Rubil, 2013 and Nestić, Rubil and Tomić, 2015) Moreover, the authors noted that wages are higher in larger firms, indicating the positive covariance between firm size and wage, which is one of the assumptions used in the OP decomposition. Kunovac and Pufnik ( 2015) analysed in more detail the results of the third wave of the WDN for Croatia, mainly on wage setting practices at firm level as well as firm and institutional characteristics. The authors observed that during the 2009-2014 recession, the prevailing strategy in response to adverse macroeconomic shocks was a reduction in employment rather than wage cuts. 2 CNB ( 2019) estimated the employee composition effect by using aggregate wage data in the period from 2009 to 2018. The estimated impact of the composition effect, although not particularly pronounced, was positive during the crisis, but subsequently became negative. During the crisis, the composition effect increased the average wage because employment decreased the most in segments with lower wages, but its impact was reversed during the recovery period.
Ivanac, Kunovac and Nadoveza ( 2024) depart from previous studies by investigating the relationship between wages and inflation in Croatia, inspired by the discussion of the wage price spiral. The authors found that an increase in nominal wages can contribute to higher inflation in an environment driven by demand shocks. In addition, Nadoveza ( 2025) analysed the potential inflationary risk of public sector wage growth and found that its overall contribution to inflation is modest, driven primarily by indirect effects.
3 Data description and cleaning
The data used in the analysis are based on financial reports collected by the Croatian Financial Agency (Fina) on establishments in Croatia from 2002 to 2023. The database contains annual data from the balance sheets and profit and loss accounts of all Croatian firms that are liable to submit annual financial statements, that is, all companies that were liable to pay profit tax in the reference year.
The Fina database covers the period 2002-2023. The number of observed firms consistently grew, from around 63 thousand in 2002 to over 156 thousand in 2023. The total number of employees in those firms increased from around 771 thousand in 2002 to over 1.1 million in 2023, encompassing about 67% of total employment in Croatia, and 77% of all employees in legal entities, according to the Croatian Bureau of Statistics (CBS). The discrepancies arise mostly because the Fina database does not include self-employed persons, private farmers, non-profit firms, financial companies, or public sector institutions such as ministries, government agencies, municipalities and institutions in the education and health sector.
Using the Fina database requires a data cleaning process, as outliers or incorrect data points could skew results or misrepresent the underlying trends within a dataset. We focused on the gross value added (GVA) of companies as a key metric for inclusion or exclusion, as it already accounts for wages. We calculated GVA as a sum of total cost of personnel, amortisation, financial costs and profit or loss before taxes.
First, companies with zero employees were removed from the sample, as such companies could not have any effect on wage developments in Croatia. Next, we filtered out firms at both the lower and upper ends of gross value added to eliminate outliers. Specifically, we excluded firms with a GVA per worker below the 0.5th percentile and those above the 99.5th percentile.
Applying these criteria led to the exclusion of a significant portion of companies from the sample. On average, about 30% of companies were removed from the dataset for each year, vast majority being removed for their lack of employees. Despite this reduction in the number of firms, it is important to note that the impact on the total number of employees was minimal. The firms removed accounted for only approximately 2% of the total employees in the dataset.
Analysis after data cleaning reveals that the gross average wage remained relatively consistent between the filtered and unfiltered samples. Gross wages were, on average, about 1% lower in the filtered than in the unfiltered sample. In contrast to wage data, data on gross value added are more volatile. The ratio between raw data and cleaned data is less stable, with gross value added being 8% lower after cleaning. Nevertheless, we interpret this share as satisfying and use it later on in our analysis.
The good coverage of firm and employee population ensures that data on wage level and growth closely track the official data, provided by the CBS (figures 2a and A2a). The observed differences primarily reflect the different coverage of employees, primarily the exclusion of public sector employees (employees working in non-government education and health sector are included, although their share is small), and self-employed workers, as well as differences in methodology, for example the treatment of part-time workers. Developments in gross value added (GVA) from Fina are mostly in line with national accounts data published by the CBS, with disparities mainly arising from differences in coverage (figures 2b and A2b).
Figure 2Average gross monthly wage and gross value added compared to administrative data (annual rate of change, %) DISPLAY Figure
After data cleaning, the sample contains slightly fewer than 50 thousand firms in the first year (2002), growing to 110 thousand in 2023. The number of employees grew from 768 thousand in 2002 to over 1.1 million in 2023. Notably, the number of firms increased in the aftermath of the 2009-2014 recession, even though employment decreased. This is consistent with average firm size, which decreased throughout the period. While the average firm in 2002 had 15 employees, in 2023 it had only 10 (table A1). Over the 20-year period, both average gross monthly wage and productivity (GVA per worker) doubled.
Looking at firm size, small firms (fewer than 25 employees) dominate the population in the entire period (figures A3a and A4a). Furthermore, their share increased to almost 95% in 2023. At the same time, the share of medium firms (25-249 employees) decreased to 5%, while the share of large firms (>250 employees) was just below 0.5%.
Despite their small absolute number, large firms employ a large share of the workforce, although the trend is decreasing (figures A3b and A4b). In 2023, 32% of employees were employed in large firms (44.2% in 2002). Over time, the percentage of workers employed in small firms grew to 36% in 2023, with 31.5% in medium-sized firms. Similarly, the largest share of GVA is generated by large firms, although this share has been declining (54% in 2002 compared to 38% in 2023). Meanwhile, GVA in small and medium-sized firms has been increasing over time to around 30% in 2023 (figures A3c and A4c).
Looking at wages, there is a positive correlation between firm size and wages (in line with findings from Nestić, 2005). Large firms paid higher wages than small and medium firms, and medium firms paid higher wages than small firms (figure 3a). In 2002, wages in small firms amounted to about 69.3% of those in large firms, slightly catching up, to 71.3%, in 2023. Medium firms, however, caught up much faster, from 82.9% in 2002 to 94.3% in 2023. Wage premium in larger firms in consistent with the literature (Oi and Idson, 1999), which suggests that higher wages in larger firms may be explained by factors such as the economies of scale, higher productivity, or unionization and the corresponding increased bargaining power of workers over the negotiated wages.
The increased share of lower=paying small firms suggests that the composition effects may have had a negative influence on aggregate wages. Indeed, had the size structure of the firms remained unchanged since 2002, the aggregate wage in 2023 would have been 3.4% higher (figure 3b).
Figure 3Firm size composition effect on gross monthly wage DISPLAY Figure
What is more, over the observed period there was a significant shift from industry to services (figure 4a). The category “Industry” here includes NACE 2007 sections B-F (Industry including construction), while “Services” include sections G-U. Agriculture (section A) is excluded from this analysis. While in 2002 the total numbers of employees in industry and services were similar, in 2023 the share of services employees increased to almost 60%. Wages in services tended to be somewhat higher than in industry, although the wages in industries have been catching up and difference between the sectors decreased in the years leading up to pandemic (figure A5b).
Unlike the change of firm size composition, the change of sectoral composition seems to have had a positive impact on aggregate wages, although the effect seems much less significant (figure 4b).
Figure 4Sectoral composition effect on gross monthly wage DISPLAY Figure
The observed changes in firm size and shifts in sectors signal that their effects on wages are not trivial. However, they do not consider changes in structure within the group, arising from worker reallocation, for example, workers moving from one firm in industry to another firm in industry, or from a low-paying small firm to a better-paying small firm. To analyse such effects, we conduct Olly and Pakes decomposition on firms in Croatia in 2002-2023 period.
In addition to the static decomposition, we apply a dynamic version that accounts for firms entering and exiting the market. Specifically, we categorize firms into three mutually exclusive groups: entrants, exiters, and survivors. Entrants are firms that are active in the current year and will remain active in the following year, but were not active in the previous year. Survivors are firms that were active in the previous year and continue to be active in both the current and following year. Exiters are firms that were active in the previous and current year but will no longer be active in the following year 3.
In Croatia, our sample shows that, on average, 12% of firms enter and around 8% exit each year. However, post-pandemic data reveals a decline in both entry and exit rates, indicating reduced firm dynamism and, consequently, a slowdown in the process of creative destruction, with potential negative effects on productivity growth. On average, 4% of workers are employed in both entering firms and those likely to exit in the following year. The wages of both entering and exiting firms are lower than those of continuing firms, which is in line with the literature (Schröpf, 2023). The main characteristics of entering and exiting firms, including the number of firms and employees, wages, and GVA per worker, can be found in the appendix.
4 OP decomposition
The OP decomposition was initially introduced in the realm of aggregate productivity analysis (Olley and Pakes, 1996; Murao, 2017; Brown et al., 2018; CompNet, 2021), where aggregate productivity, calculated as a weighted average, is decomposed into the unweighted average of productivity and the covariance between firm size (measured by people employed) and productivity. A higher covariance implies a stronger relationship between a company’s productivity and its size. An increase in covariance suggests that resources are being distributed across firms such that more productive firms are utilizing above-average resources. The OP term is seen as an indicator of labour allocation efficiency (Valdec and Zrnc, 2018). Furthermore, Melitz and Polanec ( 2015) proposed an extension of the static OP decomposition which accounts for the impact of the firms surviving, entering firms and firms exiting the market on the aggregate productivity change. The authors proved that their dynamic version, does not suffer from the biases (theoretical direction and magnitude of those biases are not known) in the contributions of the firms’ entering and exiting the market that could occur when other methods are used.
Given that the aggregate wage is calculated as a weighted average, the OP decomposition method can be easily reproducible within the wage context. The OP decomposition method then decomposes change in the aggregate wage into two components: the unweighted, systematic changes affecting all firms (such as macroeconomic trends and average firm characteristics), and the change that consist of the reallocation of workers to higher-paying firms. A drawback of the OP decomposition approach is that it ignores changes in the workforce composition, assuming constant worker characteristics. However, Adamopoulou et al. ( 2019) discovered in their study on Italian establishments that even after adjusting for occupational level, the effect of worker reallocation remained substantial and exhibited similar dynamics, although it decreased slightly.
4.1 Static OP decomposition
The static OP decomposition separates the overall aggregate wage dynamics into two components: the change in the average firm wage (the “within” firm component) and the change in correlation term between firm wage and firm and size (the “between” firm component, or OP term). The first term reflects changes in wage common to all firms, while the second term assumes reallocation of workers from low to high-wage firms, driven by wage differential between firms. Workers are willing to move from one firm to another, conditional on other factors being similar, only when a new firm pays more than the existing one (Office for National Statistics, 2019). In this static version, only surviving firms are used in calculations, while the dynamic version accounts for firm entry and exit.
The aggregate wage in an economy is defined as the weighted average, with weights being the share of firm employment in total employment. This aggregate wage is then decomposed into unweighted average of the wages across firms  (which represents the average wage in a hypothetical scenario where there is no correlation between the firm wage and firm size) and an OP term representing the covariance between firm wage and firm size. If there were no correlation between firm size and firm wage (or, in a special case, if all firms were of the same size), the unweighted average wage would be identical to the average wage. However, since data show that larger firms (measured by employment size) tend to offer higher wages, this method allows us to measure the wage premium associated with larger firms. In this way, growth in aggregate wages can reflect either an increase in the average wage within firms or the reallocation of workers toward higher-wage firms.  | (1) |
where: is average aggregate wage, i.e. employment weighted average wage across firms  is unweighted average of the wages across firms,  is the covariance between firm wage and firm size relative to the average firm size, or OP term, J is a sample of firms,
 is the employment share of firm j at time t, with Et aggregate employment and et average firm size.
The covariance between the firm wage and its employment share  (below, the OP term) would be equal to zero in the scenario with a purely random distribution of workers among firms. In this case, aggregate wage would be equal to the within component. On the contrary, when workers are reallocated to the high-wage firms, the correlation becomes positive, the OP term increases (Δ OPt > 0), and the average wage increases above the unweighted average (Δ  = 0) entirely as a result of the composition effect, that is, even if all firms continue to pay the same wages.
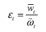
As complement to OP term, we derive the indicator of the wage allocation premium as follows:  | (2) |
When aggregate wage is equal to the within component, the wage allocation premium is equal to 1, which would correspond to a random distribution of workers among firms. When ε >1, then aggregate wages are greater than within component, which suggests a shift from random distribution so that more workers are allocated to higher paying firms. The wage allocation premium reflects how much higher the aggregate wage is than the unweighted average due to the OP term. In essence, it’s a wage premium from non-random worker allocation.
In addition, we construct a counterfactual (fixed-weight) aggregate wage. This approach allows us to isolate the contribution of the worker reallocation from lowwage to high=wage firms to the aggregate wage dynamics and its interpretation, as in Adamopoulou et al. ( 2019). Counterfactual (fixed-weight) wage growth is one which would be realised if the wage allocation premium in year b+ s was the same as in the base year b. We apply this by fixing workers allocation to a specific base year b, and then by using the identity  we obtain  | (3) |
Where:  is counterfactual average wage in year b+ s  is unweighted average wage in year b+ s 1 - OPb/wb is inverse of wage allocation premium εb in base year b εb is wage allocation premium in b.
4.2 Dynamic OP decomposition
The dynamic OP decomposition, proposed by Melitz and Polanec ( 2015), extends the static version by separating the impact of surviving firms on aggregate wage changes from the effects of firms entering and exiting the market. We would expect that the firms entering and exiting market have lower wages than incumbent firms. An empirical analysis of establishments in Germany showed that starts-up tend to pay lower wages and that this wage differential tends to decline over time as these firms become older (Brixy, Kohaut and Schnabel, 2007). In addition, we would expect that exiting firms also have lower wages due to their lower productivity. The analysis of Schröpf ( 2023) showed that exit rates decline with wage levels. Moreover, firms with the lowest wages, as compared to their peers in the same cohort, have the highest risks of exiting the market.
Inclusion of entry and exit in the static OP decomposition, as discussed by Brown et al. ( 2018), is important because entering and exiting firms often differ in key characteristics such as productivity and size. For example, if an entrant firm has higher productivity than incumbents, it can gain market share from them, thereby contributing to aggregate productivity growth. Similarly, when a firm with below-average wages and a small employment share exits the market, the dynamic decomposition does not interpret this as a decline in the allocative premium, whereas the static OP decomposition may incorrectly attribute it to one. For this reason, it is important to decompose aggregate productivity or wages into components associated with each group of firms, which is presented in the dynamic OP decomposition.
Equation (4) represents the dynamic OP decomposition, constructed of four components, namely: changes in average productivity of the surviving firms; change in covariance of surviving firms; the contribution of the entrants in the second period; and contribution of the exiting firm.
 | (4) |
where: superscript S refers to surviving firms, E for entering and X for exiting firms.
The first two terms on the right side of the equation represent static Olley and Pakes decomposition, estimating the contribution of the surviving firm to the changes in average wage between time t and t-1 and covariance between employment share and average wage of surviving firms. The contributions of the entering and exiting firms are equal to the employment share of entering firm j (exiting firm j) within the total employment of entering firms (exiting firms) and difference between average wage of entering firms (exiting firms) and surviving firms.
All the mentioned formulas on static and dynamic OP decomposition are equally applied to productivity, measured as GVA per worker, in the same manner as for the wages.
5 Results
The contributions of the static OP term to aggregate wage growth in different time periods and by sector are shown in table 1. To calculate the contribution of worker reallocation effect, we fix the allocation premium coefficient to the base year (eq. 3). Over the entire analysed period, from 2002 to 2023, the impact of allocation premium on aggregate wage dynamic is small (4.9%). However, if we analyse different time periods, the impact of the allocation premium becomes evident. From the start of our sample in 2002, until the onset of the recession in 2008, wages grew significantly (42.8%). However, this increase would have been even greater (by 1.9 percentage points) had the allocation premium remained at its 2002 level. During the recession period (2008-2014), wage growth slowed considerably. Wages in 2014 were 5.7% higher than in 2008. However, most of this growth (about 80%) was driven by the reallocation of workers from lower-paying to higherpaying firms, as the unweighted wage component rose by only 1.0%. This pattern is evident in both the services and manufacturing sectors.
Table 1Contribution of the change in OP term to aggregate wage growth in different periods, by sector (NACE 2007) DISPLAY Table
The obtained results are in line with Adamopoulou et al. ( 2019) who reported that in the period from 2004 to 2015, allocation of employees can explain 32% of the increase in the aggregate wage in Italy. Because their analysis concludes with data up to 2015, it would be useful for future research to compare our results with Italian data from periods beyond 2015.
In the period following the recession and up to the onset of the COVID-19 pandemic (2014-2019), wage growth was again dampened by a decline in the wage allocation premium. This trend is observed in both the services and the manufacturing sectors.
A detailed sectoral analysis in table A2 shows that similar trends are broadly visible within most sectors. The increase in wage allocation premium after 2020 is visible in industry (excluding construction), and in some service sectors, most notably retail, accommodation and food services, ICT, professional and administrative services and non-government public sector activities.
Overall, from 2002 to 2019, the wage allocation premium displayed countercyclical behaviour, tending to rise during downturns and decline during expansions (figure 5a). However, in the period from 2020 to 2023, this pattern shifted and became procyclical: the wage allocation premium decreased and slowed the wage growth in 2020, when GDP decreased due to the pandemic outbreak, and then increased from 2020 to 2023 as GDP experienced strong post-pandemic growth. This contrasts with what we observe in the GVA per employee data, which we analyse in the next section.
Figure 5Static OP decomposition, wage and GVA, three year moving average DISPLAY Figure
The effect of changes in the allocation premium has been much more noticeable for GVA per employee. From 2002 to 2008, GVA per employee increased by 31.2% (table 2). However, had the allocation of workers among the firms remained unchanged, the growth would be even greater (45.8%). This negative effect of reallocation is especially pronounced in industry.
Table 2Contribution of the OP term to aggregate GVA per worker growth in different periods, by sector (NACE 2007) DISPLAY Table
During the recession (2008-2014), GVA per worker increased (4.6%), but had the allocation remained as in 2008, it would have decreased (8.4%). The reallocation effect was, again, especially pronounced in industry, as shown in figure 5c, which experienced a sharper decline in employment than the services sector, but this decline was also present in services sector, where it moderated the decrease in GVA per employee.
In the period of growth (2014-2019), the reallocation premium continued exhibiting the countercyclical behaviour, moderating the growth in GVA per employee. This is attributed to its effect in industry, while the allocation premium in services grew slightly.
In 2020, the GVA allocation premium made a negative contribution to GVA per employee growth, further deepening the decline in GVA caused by the pandemic. However, unlike the wage allocation premium, which increased from 2020 to 2023, the reallocation premium for GVA per worker returned to its countercyclical behaviour after 2020. Thus, in the post-pandemic period workers were reallocated to higher paying firms, but these wage-based reallocation effects were not reflected in value-added terms.
Looking at detailed sector data (table A3), the decrease in the reallocation premium after 2020 was broadly based, with an exception in the accommodation and food services sector (which was particularly hard hit by pandemic shock in 2020).
The allocation premium of both wages and productivity (eq. 2) exhibited countercyclical behaviour in the period 2002-2019, including the period before and during the prolonged recession, which is in line with the results of Adamopoulou et al. ( 2019). Following the onset of the prolonged recession in Croatia in 2009, the wage allocation premium began to rise, reflecting the stronger negative impact of the recession on lower-paying, less productive firms, particularly in the construction sector (as shown in figure 5a). However, since 2020, the wage allocation premium has exhibited clear pro-cyclical behaviour, suggesting some form of anomaly in the economy. It should be noted that, amid the COVID-19 pandemic recession in Croatia, significant government measures to preserve employment could have distorted allocation premium trends – an effect that was not present during the 2009-2014 recession. This is in line with findings of Lalinsky, Meriküll and Lopez-Garcia ( 2024), who report that the productivity-enhancing reallocation was weaker in the pandemic than in the Great Recession and in countries with more generous support. It is possible that the procyclical impact of the COVID-19 recession on the allocation premium reflected government measures to preserve employment (for more details on firms that received government support, see CNB, 2020).
One possible explanation is that government support measures during the pandemic may have encouraged labour hoarding, allowing firms to retain workers and maintain wage levels even when productivity (as measured by GVA per worker) did not keep pace. In this context, the increase in wages without a corresponding rise in productivity could have pressured firms to raise prices to maintain margins. As a result, this dynamic may have contributed to the post-pandemic inflationary pressures, particularly in sectors where labour costs represent a substantial share of total costs.
In addition, COVID-19 measures may have hindered natural market dynamics, contributing to zombification and negatively impacting productivity growth. Typically, during a recession, the processes of creative destruction and the cleansing effect facilitate the reallocation of jobs from low-productivity to high-productivity firms (Konings, Magerman and Escbroeck, 2023). However, Croatia was one of the countries with the broadest coverage of employees under COVID-19 support measures, coupled with one of the highest levels of government assistance. As a result, the usual productivity-enhancing reallocation may have been stifled by the generous government support.
Finally, we conclude with the dynamic OP analysis. This analysis has missing observations at both the beginning and end of the period. In the first year (2002), it is not possible to distinguish between firms that are entering, exiting, or continuing. Similarly, in the last year (2023), we cannot determine which firms will survive or predict the number of firms entering or exiting.
Accounting for entering and exiting firms shows that these firms have a negative effect on the average wage in every year. These results align with our assumptions that entering and exiting firms have low wages compared to incumbent firms. Thus, firms entering the market exert a downward pressure on aggregate wages, while exiting firms have an upward impact. However, since the effect of entering firms is greater than that of exiting firms, the overall effect is negative (figure 6).
Overall, the dynamic OP decomposition on the sample of continuing firms yields similar results to the static OP analysis (figure 7). During Croatia’s prolonged recession (2009-2014), both wages and GVA per worker exhibited counter-cyclical behaviour. However, while wages continued to display a counter-cyclical pattern throughout the recovery period and up to the COVID-19 crisis, GVA per worker reallocation began to decline after peaking during the recession. The decline in productivity-enhancing reallocation further intensified following the COVID-19 crisis, whereas wages started to exhibit a slightly pro-cyclical pattern thereafter.
Figure 6Contributions of entering and exiting firm to wage change, % DISPLAY Figure Figure 7Dynamic OP decomposition (three year moving average) DISPLAY Figure
6 Conclusion
After a period of stagnation following the 2009-2014 recession, nominal wages in Croatia grew strongly. Wage developments depend not only on firm-level wage setting policies, but also on the firm composition, which is often overlooked and not evident in aggregate data. The objective of this paper was to uncover the role of firm composition effects on aggregate wage dynamics, employing the Olley and Pakes decomposition and its dynamic variant to account for entering and exiting firms.
Our application of the OP decomposition revealed that allocation premium, which we defined as a ratio between actual observed wages and “unweighted wages” (wages in a hypothetical scenario where there is no correlation between firm size and firm wages, that is, in which the allocation of workers among the firms is random) behaved countercyclically before the COVID-19 pandemic. During economic downturns, particularly evident during the recession starting in 2009, allocation premium increased, as lower-paying firms were disproportionately affected by the recession. Thus, the composition effect decreases the severity of the negative impact on wages during economic downturns and also diminishes the positive effects during the periods of growth. In the period 2008-2014, this composition effect explains about 80% of the aggregate wage growth. Conversely, during the periods of growth, the allocation premium decreases, moderating the wage growth, as lower-paying firms increase their employment more than high-paying firms. This finding aligns with the results from Adamopoulou et al. ( 2019), which studied the composition effect on Italian firms.
Our application of the OP decomposition revealed that allocation premium, which we defined as a ratio between actual observed wages and “unweighted wages” (wages in a hypothetical scenario where there is no correlation between firm size and firm wages, that is, in which the allocation of workers among the firms is random) behaved countercyclically before the COVID-19 pandemic. During economic downturns, particularly evident during the recession starting in 2009, allocation premium increased, as lower-paying firms were disproportionately affected by the recession. Thus, the composition effect decreases the severity of the negative impact on wages during economic downturns and also diminishes the positive effects during the periods of growth. In the period 2008-2014, this composition effect explains about 80% of the aggregate wage growth. Conversely, during the periods of growth, the allocation premium decreases, moderating the wage growth, as lower-paying firms increase their employment more than high-paying firms. This finding aligns with the results from Adamopoulou et al. ( 2019), which studied the composition effect on Italian firms.
We extend our analysis by applying the same decomposition method to productivity, using gross value added per worker as a proxy. We found that the effect of changes in allocation premium has been much more significant for productivity than for wages. Moreover, this reallocation effect has remained countercyclical through the entire examined period, including after the COVID-19 pandemic. As a result, employees were reallocated toward higher-paying firms, but without a corresponding increase in productivity, as reflected in the declining GVA per employee allocation premium. This disconnect suggests that wage-based reallocation was not productivity-driven and may have put upward pressure on prices, potentially contributing to the broader inflationary trends observed in the postCOVID period.
Finally, the dynamic OP decomposition showed that firms entering the market tend to exert downward pressure on aggregate wages. This suggests that new firms typically pay lower wages, which is consistent with the literature indicating startups usually offer lower initial wages that rise over time as they stabilize. At the same time, exiting firms have an upward impact on aggregate wages (as exiting firms typically pay lower wages compared to surviving firms), but this effect is weaker than the effect of new entrants.
We hope our paper enhances the understanding of wage developments in Croatia and inspires further research. A promising direction for future study could be exploring how sectoral differences in allocation efficiency – especially given postpandemic high inflation and wage growth – might influence the potential impact of wage growth on inflation.
7 Appendix
Table A1Data overview DISPLAY Table Figure A1Data before and after the cleaning procedure DISPLAY Figure Figure A2Average gross wage and gross value added compared to administrative data DISPLAY Figure Figure A3Distribution of firms, employees and GVA (in %) DISPLAY Figure Figure A4Firm characteristics by size DISPLAY Figure Figure A5Firm characteristics by sector DISPLAY Figure Figure A6Main characteristics of entering and exiting firms DISPLAY Figure Table A2Contribution of the change in OP term to aggregate wage growth in different periods, by sector (NACE 2007) DISPLAY Table Table A3Contribution of the change in OP term to aggregate GVA per worker growth in different periods, by sector (NACE 2007) DISPLAY Table
Notes
* The authors would like to thank the two anonymous reviewers for their constructive comments, thoughtful suggestions, and valuable insights, which significantly contributed to shaping and improving this paper. The authors would like to thank both the organizers and the participants of the Sljeme Economic Talks for their valuable comments and suggestions, which contributed to the development of this paper. Additionally, the authors acknowledge the use of ChatGPT (version 4.0 mini) to enhance the readability and overall language quality of the paper. The views and opinions expressed in this article are those of the authors and do not necessarily reflect the official policy or position of the Hrvoje Požar Energy Institute or the Croatian National Bank.
1 Financial Agency in Croatia is the institution responsible for the data as it collects and analyses annual financial reports of firms in Croatia. However, the data provider is the Croatian National Bank, which processes raw data obtained from FINA.
2 For example, total employment in 2014 was 11% lower than in 2008, while at the same time nominal wages increased (in real terms, however, they decreased).
3 The criteria used to distinguish between exiting, entering, and continuing firms are important, as the results vary depending on whether these three categories are mutually exclusive or not.
* The authors would like to thank the two anonymous reviewers for their constructive comments, thoughtful suggestions, and valuable insights, which significantly contributed to shaping and improving this paper. The authors would like to thank both the organizers and the participants of the Sljeme Economic Talks for their valuable comments and suggestions, which contributed to the development of this paper. Additionally, the authors acknowledge the use of ChatGPT (version 4.0 mini) to enhance the readability and overall language quality of the paper. The views and opinions expressed in this article are those of the authors and do not necessarily reflect the official policy or position of the Hrvoje Požar Energy Institute or the Croatian National Bank.
1 Financial Agency in Croatia is the institution responsible for the data as it collects and analyses annual financial reports of firms in Croatia. However, the data provider is the Croatian National Bank, which processes raw data obtained from FINA.
2 For example, total employment in 2014 was 11% lower than in 2008, while at the same time nominal wages increased (in real terms, however, they decreased).
3 The criteria used to distinguish between exiting, entering, and continuing firms are important, as the results vary depending on whether these three categories are mutually exclusive or not.
Disclosure statement
The authors have no conflict of interest to declare.
References
Abowd, J. M., Kramarz, F. and Margolis, D. N., 1999. High wage workers and high wage firms. Econometrica, 67(2), pp. 251-333 [ CrossRef]
Adamopoulou, E. [et al.], 2019. Reallocation and the role of firm composition effects on aggregate wage dynamics. IZA Journal of Labor Economics, 8(1) [ CrossRef]
Agell, J. and Lundborg, P., 1995. Theories of Pay and Unemployment: Survey Evidence from Swedish Manufacturing Firms. The Scandinavian Journal of Economics, 97(2), pp. 295-307 [ CrossRef]
Allen, J. and van der Velden, R., 2001. Educational mismatches versus skill mismatches: effects on wages, job satisfaction, and on-the-job search. Oxford Economic Papers, 53(3), pp. 434-452 [ CrossRef]
Babecky, J. [et al.], 2012. How do European firms adjust their labour costs when nominal wages are rigid. Labour Economics, 19(5), pp. 792-801 [ CrossRef]
Bishop, J. and Greenland, E., 2021. Is the Phillips Curve Still a Curve? Evidence from the Regions. Reserve Bank of Australia Research Discussion Paper, No. 2019-09 [ CrossRef]
Blinder, A. and Choi D. H., 1990. A shred of evidence on theories of wage stickiness. The Quarterly Journal of Economics, 105(4), pp. 1003-1005 [ CrossRef]
Branten, E., Lamo, A. and Rõõm, T., 2018. Nominal wage rigidity in the EU countries before and after the Great Recession, evidence from WND survey. ECB Working Paper Series, No. 2159.
Brixy, U., Kohaut, S. and Schnabel, C., 2007. Do newly founded firms pay lower wages? First evidence from Germany. Small Business Economics, 29(1/2), pp. 161-171 [ CrossRef]
Brown, D. J. [et al.], 2018. Decomposing firm-level productivity growth and assessing its determinants: evidence from Americas. The Journal of Technology Transfer, 43(6), pp. 1571-1606 [ CrossRef]
Campbell, C. and Kamlani, K. S., 1997. The reasons for wage rigidity: evidence from a survey of firms. The Quarterly Journal of Economics, 112(3), pp. 759-789 [ CrossRef]
Card, D., Heining, J. and Kline, P., 2013. Workplace Heterogeneity and the Rise of West German Wage Inequality. Quarterly Journal of Economics, 128(3), pp. 967-1015 [ CrossRef]
CNB, 2019. The Impact of Changes in Employee Structure on the Average Wage in Croatia for the Period 2009–2018. Macroeconomic Developments and Outlook, No. 7.
Daly, M. C. and Hobijn, B., 2014. Downward Nominal Wage Rigidities Bend the Phillips Curve. Journal of Money, Credit and Banking, 46(S2), pp. 51-93 [ CrossRef]
Daly, M. C. and Hobijn, B., 2017. Composition and Aggregate Real wage growth. American Economic Review, 107(5), pp. 349-52 [ CrossRef]
Goette, L., Sunde, U. and Bauer, T., 2007. Wage rigidity: measurement, causes and consequences. The Economic Journal, 117(524), pp. F499-507 [ CrossRef]
Gruetter, M. and Lalive, R., 2009. The importance of firms in wage determination. Labour Economics, 16(2), pp. 146-160 [ CrossRef]
Hyytinen, A., Ilmakunnas, P. and Maliranta, M., 2016. Olley-Pakes productivity decomposition: computation and inference. Journal of the Royal Statistical Society. Series A, 179(3), pp. 749-761 [ CrossRef]
Ivanac, F., Kunovac, D. and Nadoveza, O., 2024. Kako porast plaća utječe na inflaciju. HNB blog.
Koeniger, W., Leonardi, M. and Nunziata, L., 2007. Labour Market Institutions and Wage Inequality. Industrial and Labor Relations Review, 60(3), pp. 340-356 [ CrossRef]
Konings, J., Magerman, G. and Escbroeck Van D., 2023. The impact of firm-level Covid rescue policies on productivity growth and reallocation. European Economic Review, 157, 104508 [ CrossRef]
Maliranta, M. and Määttänen, N., 2015. An augmented static Olley-Pakes productivity decomposition with entry and exit: Measurement and interpretation. Economica, 82(328), pp.1372-1416.
Melitz, M. J. and Polanec, S., 2015. Dynamic Olly-Pakes productivity decomposition with entry and exit. The RAND Journal of Economics, 46(2), pp. 362-375 [ CrossRef]
Nadoveza, O., 2025. Do increases in public sector wages affect inflation? Public Sector Economics, 49(1) [ CrossRef]
Nestić, D., 2009. Plaće u Hrvatskoj: trendovi, problemi i očekivanja. In: V. Franičević and V. Puljiz, eds. Rad u Hrvatskoj: pred izazovima budućnosti. Zagreb: Centar za demokraciju i pravo Miko Tripalo; Pravni fakultet Sveučilišta u Zagrebu, pp.165-195.
Nickel, C. [et al.], 2019. Understanding low wage growth in the euro area and European countries. ECB Occasional Paper Series, No. 232 [ CrossRef]
Oi, W. Y. and Idson, T. L., 1999. Firm size and wages. In: O. Ashenfelter and D. Card, eds. Handbook of Labor Economics. 1st ed. Amsterdam: Elsevier, pp. 2165-2214 [ CrossRef]
Olley, G. S. and Pakes, A., 1996. The dynamics of productivity in the telecommunications equipment industry. Econometrica, 64(6), pp. 1263-1297 [ CrossRef]
Rubil, I., 2013. The Great Recession and the public-private wage gap: distributional decomposition evidence from Croatia 2008-2011. MPRA Paper, No. 46798.
Schröpf, B., 2023. The dynamics of wage dispersion between firms: the role of firm entry and exit. Journal of Labour Market Research, 57(1) [ CrossRef]
Valdec, M. and Zrnc, J., 2018. Mikroekonomski aspekti kretanja produktivnosti tijekom velike recesije u Hrvatskoj: rezultati istraživanja modula za produktivnost Istraživačke mreže za konkurentnost (CompNet). Pregledi, P-39.
Verdugo, G., 2016. Real wage cyclicality in the Eurozone before and during the Great Recession: Evidence from micro data. European Economic Review, 82(2016), pp. 46-69 [ CrossRef]
Abowd, J. M., Kramarz, F. and Margolis, D. N., 1999. High wage workers and high wage firms. Econometrica, 67(2), pp. 251-333 [ CrossRef]
Adamopoulou, E. [et al.], 2019. Reallocation and the role of firm composition effects on aggregate wage dynamics. IZA Journal of Labor Economics, 8(1) [ CrossRef]
Agell, J. and Lundborg, P., 1995. Theories of Pay and Unemployment: Survey Evidence from Swedish Manufacturing Firms. The Scandinavian Journal of Economics, 97(2), pp. 295-307 [ CrossRef]
Allen, J. and van der Velden, R., 2001. Educational mismatches versus skill mismatches: effects on wages, job satisfaction, and on-the-job search. Oxford Economic Papers, 53(3), pp. 434-452 [ CrossRef]
Babecky, J. [et al.], 2012. How do European firms adjust their labour costs when nominal wages are rigid. Labour Economics, 19(5), pp. 792-801 [ CrossRef]
Bishop, J. and Greenland, E., 2021. Is the Phillips Curve Still a Curve? Evidence from the Regions. Reserve Bank of Australia Research Discussion Paper, No. 2019-09 [ CrossRef]
Blinder, A. and Choi D. H., 1990. A shred of evidence on theories of wage stickiness. The Quarterly Journal of Economics, 105(4), pp. 1003-1005 [ CrossRef]
Branten, E., Lamo, A. and Rõõm, T., 2018. Nominal wage rigidity in the EU countries before and after the Great Recession, evidence from WND survey. ECB Working Paper Series, No. 2159.
Brixy, U., Kohaut, S. and Schnabel, C., 2007. Do newly founded firms pay lower wages? First evidence from Germany. Small Business Economics, 29(1/2), pp. 161-171 [ CrossRef]
Brown, D. J. [et al.], 2018. Decomposing firm-level productivity growth and assessing its determinants: evidence from Americas. The Journal of Technology Transfer, 43(6), pp. 1571-1606 [ CrossRef]
Campbell, C. and Kamlani, K. S., 1997. The reasons for wage rigidity: evidence from a survey of firms. The Quarterly Journal of Economics, 112(3), pp. 759-789 [ CrossRef]
Card, D., Heining, J. and Kline, P., 2013. Workplace Heterogeneity and the Rise of West German Wage Inequality. Quarterly Journal of Economics, 128(3), pp. 967-1015 [ CrossRef]
CNB, 2019. The Impact of Changes in Employee Structure on the Average Wage in Croatia for the Period 2009–2018. Macroeconomic Developments and Outlook, No. 7.
Daly, M. C. and Hobijn, B., 2014. Downward Nominal Wage Rigidities Bend the Phillips Curve. Journal of Money, Credit and Banking, 46(S2), pp. 51-93 [ CrossRef]
Daly, M. C. and Hobijn, B., 2017. Composition and Aggregate Real wage growth. American Economic Review, 107(5), pp. 349-52 [ CrossRef]
Goette, L., Sunde, U. and Bauer, T., 2007. Wage rigidity: measurement, causes and consequences. The Economic Journal, 117(524), pp. F499-507 [ CrossRef]
Gruetter, M. and Lalive, R., 2009. The importance of firms in wage determination. Labour Economics, 16(2), pp. 146-160 [ CrossRef]
Hyytinen, A., Ilmakunnas, P. and Maliranta, M., 2016. Olley-Pakes productivity decomposition: computation and inference. Journal of the Royal Statistical Society. Series A, 179(3), pp. 749-761 [ CrossRef]
Ivanac, F., Kunovac, D. and Nadoveza, O., 2024. Kako porast plaća utječe na inflaciju. HNB blog.
Koeniger, W., Leonardi, M. and Nunziata, L., 2007. Labour Market Institutions and Wage Inequality. Industrial and Labor Relations Review, 60(3), pp. 340-356 [ CrossRef]
Konings, J., Magerman, G. and Escbroeck Van D., 2023. The impact of firm-level Covid rescue policies on productivity growth and reallocation. European Economic Review, 157, 104508 [ CrossRef]
Maliranta, M. and Määttänen, N., 2015. An augmented static Olley-Pakes productivity decomposition with entry and exit: Measurement and interpretation. Economica, 82(328), pp.1372-1416.
Melitz, M. J. and Polanec, S., 2015. Dynamic Olly-Pakes productivity decomposition with entry and exit. The RAND Journal of Economics, 46(2), pp. 362-375 [ CrossRef]
Nadoveza, O., 2025. Do increases in public sector wages affect inflation? Public Sector Economics, 49(1) [ CrossRef]
Nestić, D., 2009. Plaće u Hrvatskoj: trendovi, problemi i očekivanja. In: V. Franičević and V. Puljiz, eds. Rad u Hrvatskoj: pred izazovima budućnosti. Zagreb: Centar za demokraciju i pravo Miko Tripalo; Pravni fakultet Sveučilišta u Zagrebu, pp.165-195.
Nickel, C. [et al.], 2019. Understanding low wage growth in the euro area and European countries. ECB Occasional Paper Series, No. 232 [ CrossRef]
Oi, W. Y. and Idson, T. L., 1999. Firm size and wages. In: O. Ashenfelter and D. Card, eds. Handbook of Labor Economics. 1st ed. Amsterdam: Elsevier, pp. 2165-2214 [ CrossRef]
Olley, G. S. and Pakes, A., 1996. The dynamics of productivity in the telecommunications equipment industry. Econometrica, 64(6), pp. 1263-1297 [ CrossRef]
Rubil, I., 2013. The Great Recession and the public-private wage gap: distributional decomposition evidence from Croatia 2008-2011. MPRA Paper, No. 46798.
Schröpf, B., 2023. The dynamics of wage dispersion between firms: the role of firm entry and exit. Journal of Labour Market Research, 57(1) [ CrossRef]
Valdec, M. and Zrnc, J., 2018. Mikroekonomski aspekti kretanja produktivnosti tijekom velike recesije u Hrvatskoj: rezultati istraživanja modula za produktivnost Istraživačke mreže za konkurentnost (CompNet). Pregledi, P-39.
Verdugo, G., 2016. Real wage cyclicality in the Eurozone before and during the Great Recession: Evidence from micro data. European Economic Review, 82(2016), pp. 46-69 [ CrossRef]
|